🇳🇴 🇬🇧 🇩🇪 🇨🇿 🇫🇮

Meteor, poloha: Storsteinnes 2022-04-08 00:36:09 UTC

Soubor KML  |  InteraktivnĂ­ mapa

Mapa zobrazuje dráhy meteoru. Světlejší čáry ukazují směry od pozorovacích stanic při objevení se meteoru a tmavší čáry, kde byl naposledy viděn. Modrá šipka značí viditelnou dráhu meteoru.

static map
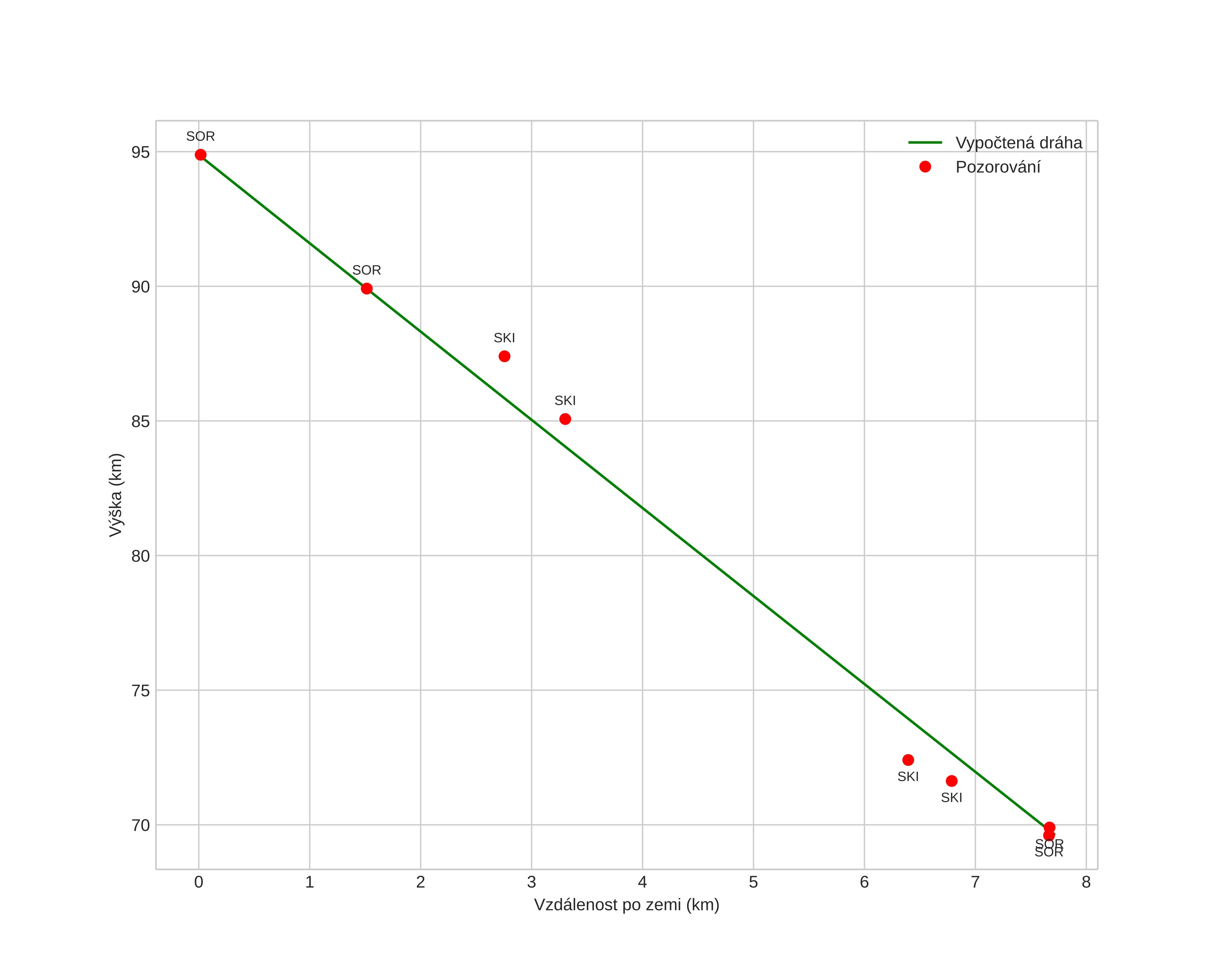
height profile
Atmosférická dráha meteoru:
Počáteční výška: 92,6 km
Konečná výška: 70,9 km
Počáteční poloha: 69,615N 19,478E
Konečná poloha: 69,570N 19,457E
Směr: 189,3°
Sklon: 76,9°
VstupnĂ­ rychlost: 20,4 km/s
Rektascenze radiantu: 16:02 (240,7°)
Deklinace radiantu: 83,4°
MeteorickĂ˝ roj: sporadickĂ˝
Elementy dráhy meteoroidu:
Vzdálenost v periheliu: 1,000 AU
Excentricita: 0,679
Sklon dráhy: 24,9°
Délka vzestupného uzlu: 17,9°
Argument perihelia: 175,8°
Střední anomálie: 0,6°
Epocha: 2022 APR 08 00:36:09
orbit plot

NeinteraktivnĂ­ graf | InteraktivnĂ­ graf

position vs time
speed and acceleration