🇳🇴 🇬🇧 🇩🇪 🇨🇿 🇫🇮

Meteor Storsteinnesin yllä 2022-04-08 00:36:09 UTC

KML-tiedosto  |  Interaktiivinen kartta

Kartta näyttää meteorin suuntahavainnot. Vaaleammat viivat näyttävät suunnat havaintoasemilta meteorin ilmestyessä, ja tummemmat viivat näyttävät, missä se viimeksi nähtiin. Sininen nuoli näyttää meteorin näkyvän lennon.

static map
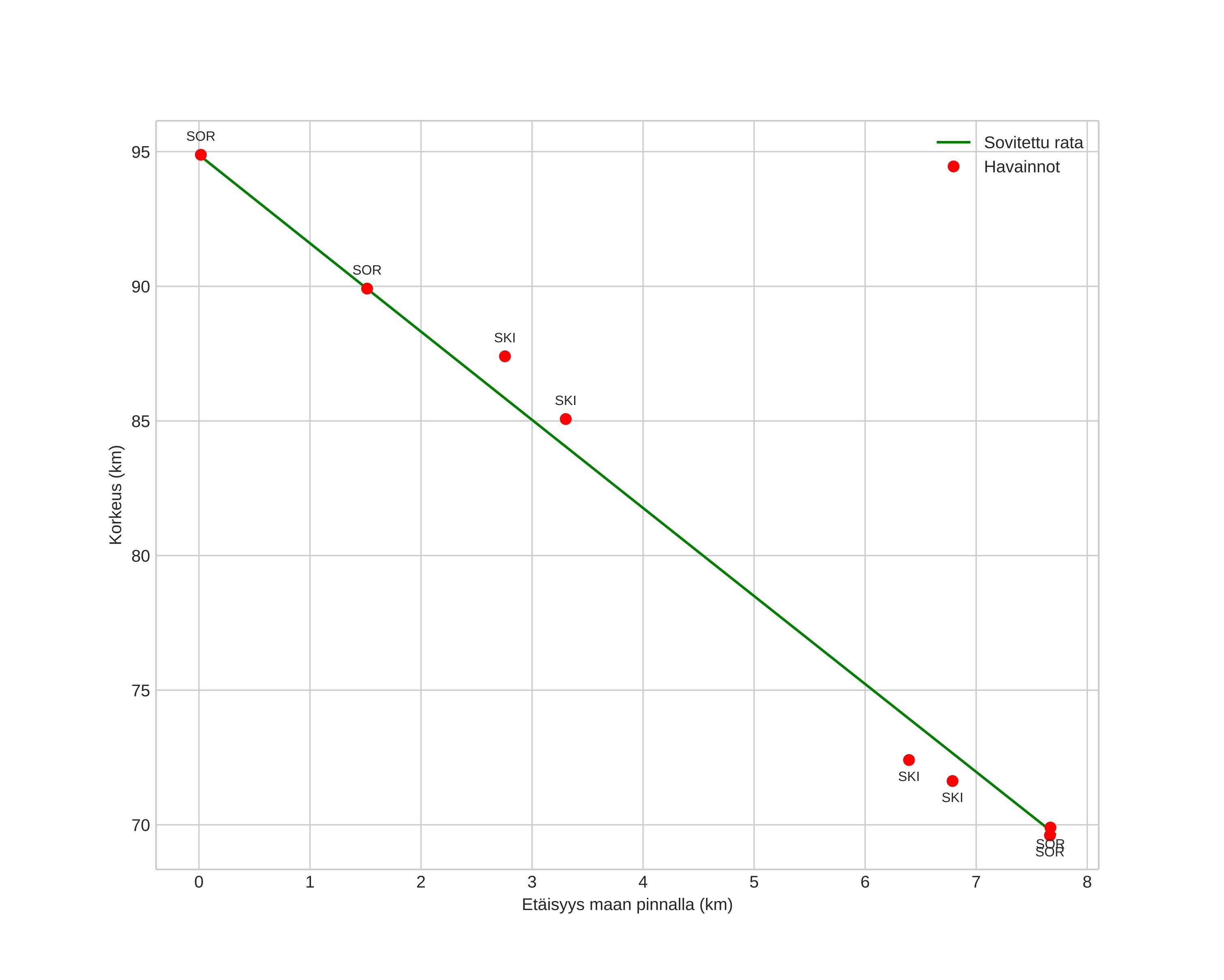
height profile
Meteorin ilmakehärata:
Alkukorkeus: 92,6 km
Loppukorkeus: 70,9 km
Alkupiste: 69,615N 19,478E
Loppupiste: 69,570N 19,457E
Suunta: 189,3°
Kallistuskulma: 76,9°
Tulonopeus: 20,4 km/s
Radiantin R,A,: 16:02 (240,7°)
Radiantin Dekl,: 83,4°
Meteoriparvi: Sporadinen
Meteoroidin rataelementit:
Perihelietäisyys: 1,000 AU
Eksentrisyys: 0,679
Inklinaatio: 24,9°
Nousevan solmun pituus: 17,9°
Perihelin argumentti: 175,8°
Keskianomalia: 0,6°
Epookki: 2022 APR 08 00:36:09
orbit plot

Ei-interaktiivinen kuvaaja | Interaktiivinen kuvaaja

position vs time
speed and acceleration