🇳🇴 🇬🇧 🇩🇪 🇨🇿 🇫🇮

Meteor, poloha: Geta 2022-04-08 23:02:36 UTC

Soubor KML  |  InteraktivnĂ­ mapa

Mapa zobrazuje dráhy meteoru. Světlejší čáry ukazují směry od pozorovacích stanic při objevení se meteoru a tmavší čáry, kde byl naposledy viděn. Modrá šipka značí viditelnou dráhu meteoru.

static map
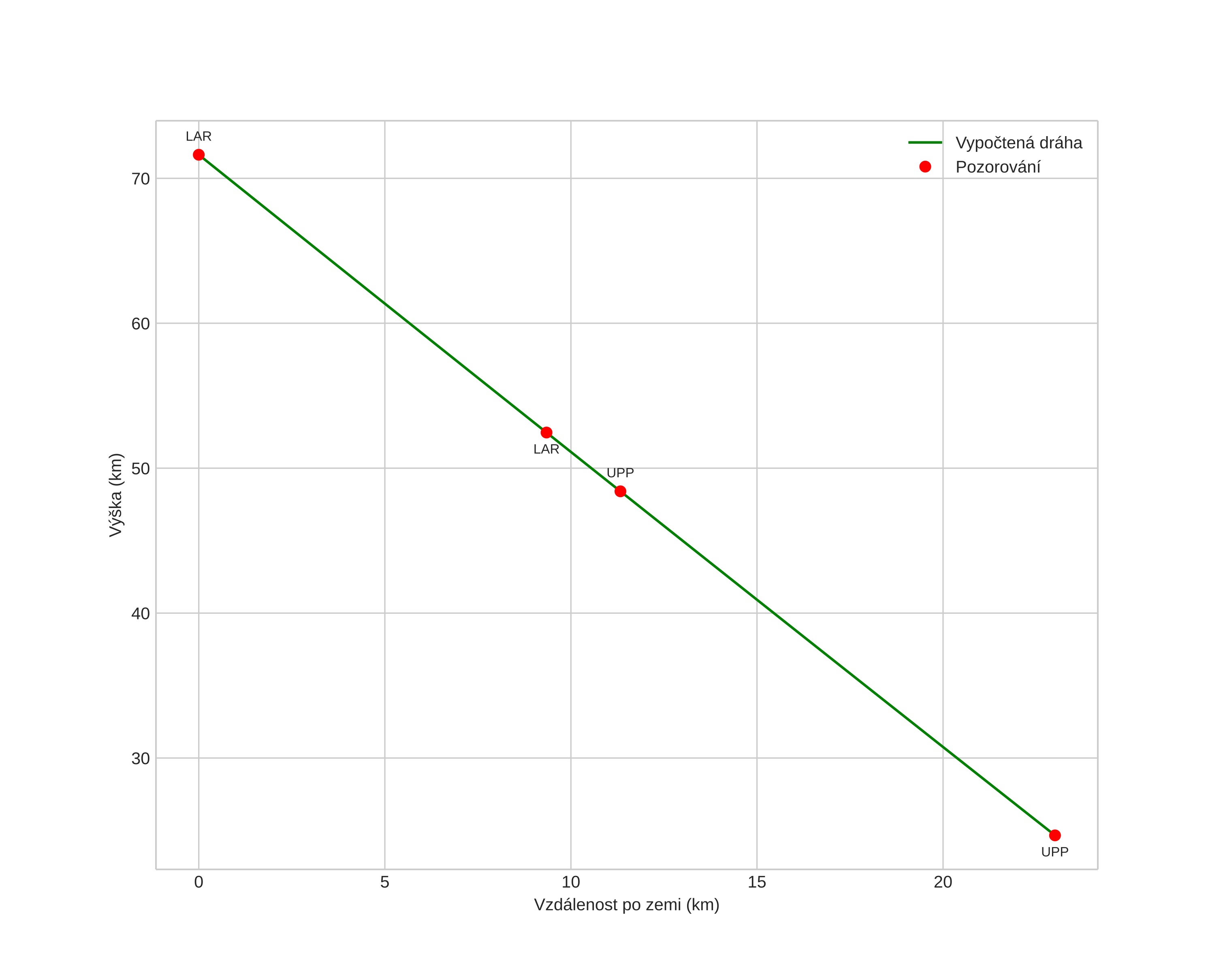
height profile
Atmosférická dráha meteoru:
Počáteční výška: 71,5 km
Konečná výška: 26,9 km
Počáteční poloha: 60,526N 19,965E
Konečná poloha: 60,394N 19,882E
Směr: 197,2°
Sklon: 71,0°
VstupnĂ­ rychlost: 13,4 km/s
Rektascenze radiantu: 16:29 (247,3°)
Deklinace radiantu: 81,7°
MeteorickĂ˝ roj: sporadickĂ˝
Elementy dráhy meteoroidu:
Vzdálenost v periheliu: 1,000 AU
Excentricita: 0,197
Sklon dráhy: 12,5°
Délka vzestupného uzlu: 18,8°
Argument perihelia: 172,1°
Střední anomálie: 5,2°
Epocha: 2022 APR 08 23:02:36
orbit plot

NeinteraktivnĂ­ graf | InteraktivnĂ­ graf

position vs time
speed and acceleration