🇳🇴 🇬🇧 🇩🇪 🇨🇿 🇫🇮

Meteor Getan yllä 2022-04-08 23:02:36 UTC

KML-tiedosto  |  Interaktiivinen kartta

Kartta näyttää meteorin suuntahavainnot. Vaaleammat viivat näyttävät suunnat havaintoasemilta meteorin ilmestyessä, ja tummemmat viivat näyttävät, missä se viimeksi nähtiin. Sininen nuoli näyttää meteorin näkyvän lennon.

static map
height profile
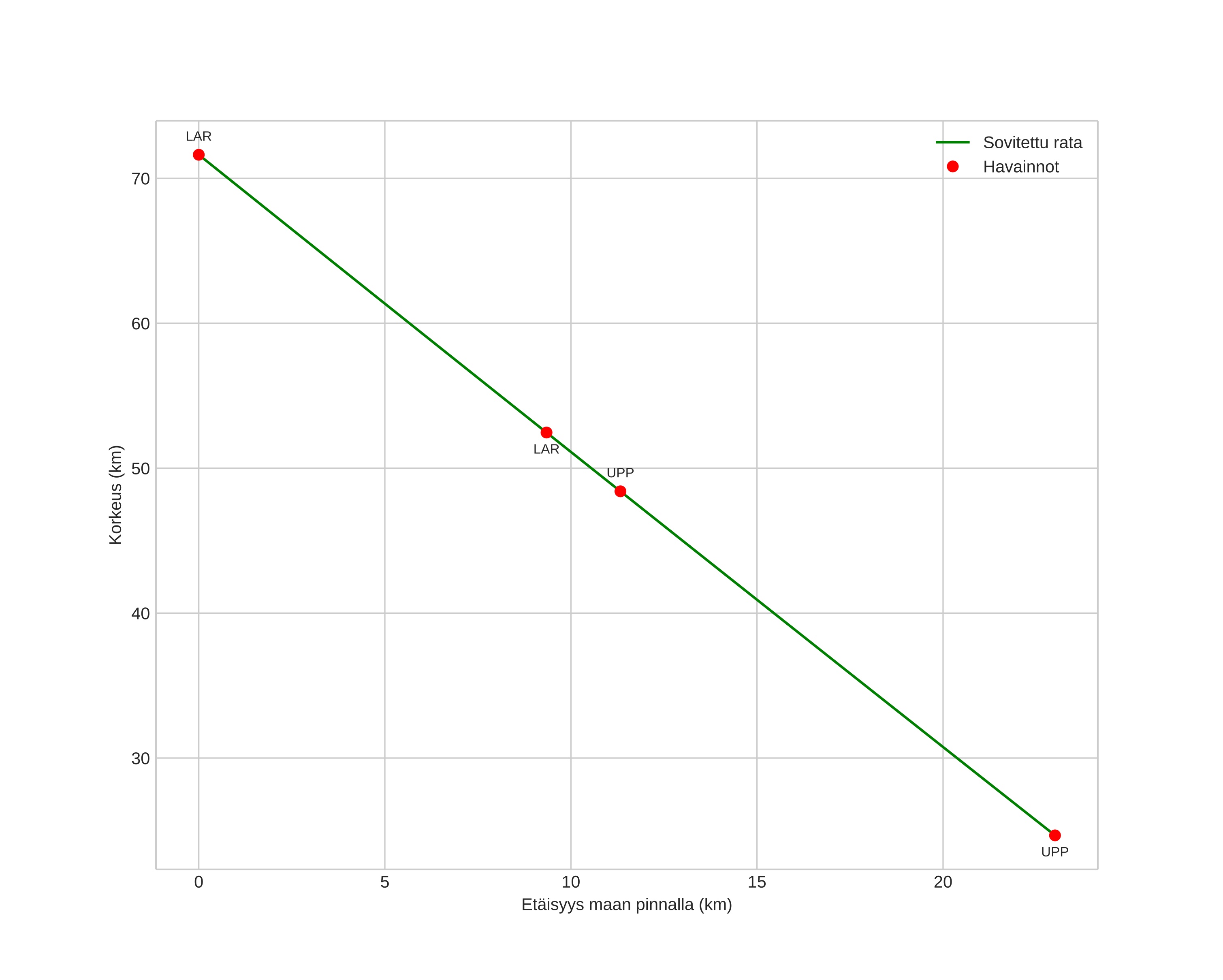
Meteorin ilmakehärata:
Alkukorkeus: 71,5 km
Loppukorkeus: 26,9 km
Alkupiste: 60,526N 19,965E
Loppupiste: 60,394N 19,882E
Suunta: 197,2°
Kallistuskulma: 71,0°
Tulonopeus: 13,4 km/s
Radiantin R,A,: 16:29 (247,3°)
Radiantin Dekl,: 81,7°
Meteoriparvi: Sporadinen
Meteoroidin rataelementit:
Perihelietäisyys: 1,000 AU
Eksentrisyys: 0,197
Inklinaatio: 12,5°
Nousevan solmun pituus: 18,8°
Perihelin argumentti: 172,1°
Keskianomalia: 5,2°
Epookki: 2022 APR 08 23:02:36
orbit plot

Ei-interaktiivinen kuvaaja | Interaktiivinen kuvaaja

position vs time
speed and acceleration