🇳🇴 🇬🇧 🇩🇪 🇨🇿 🇫🇮

Meteor, poloha: Kiruna 2022-04-12 23:21:28 UTC

Soubor KML  |  InteraktivnĂ­ mapa

Mapa zobrazuje dráhy meteoru. Světlejší čáry ukazují směry od pozorovacích stanic při objevení se meteoru a tmavší čáry, kde byl naposledy viděn. Modrá šipka značí viditelnou dráhu meteoru.

static map
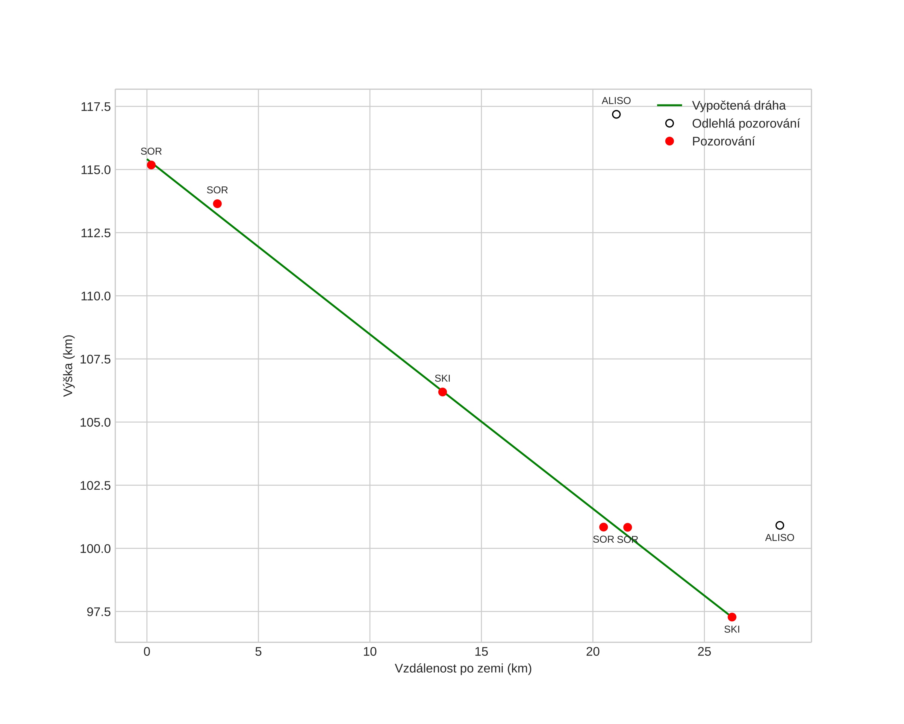
height profile
Atmosférická dráha meteoru:
Počáteční výška: 112,3 km
Konečná výška: 96,1 km
Počáteční poloha: 68,168N 20,076E
Konečná poloha: 68,197N 19,502E
Směr: 277,8°
Sklon: 34,1°
VstupnĂ­ rychlost: 49,9 km/s
Rektascenze radiantu: 18:42 (280,6°)
Deklinace radiantu: 27,9°
MeteorickĂ˝ roj: sporadickĂ˝
Elementy dráhy meteoroidu:
Vzdálenost v periheliu: 0,990 AU
Excentricita: 0,616
Sklon dráhy: 91,0°
Délka vzestupného uzlu: 22,7°
Argument perihelia: 194,7°
Střední anomálie: 357,2°
Epocha: 2022 APR 12 23:21:28
orbit plot

NeinteraktivnĂ­ graf | InteraktivnĂ­ graf

position vs time
speed and acceleration