🇳🇴 🇬🇧 🇩🇪 🇨🇿 🇫🇮

Meteor Kirunan yllä 2022-04-12 23:21:28 UTC

KML-tiedosto  |  Interaktiivinen kartta

Kartta näyttää meteorin suuntahavainnot. Vaaleammat viivat näyttävät suunnat havaintoasemilta meteorin ilmestyessä, ja tummemmat viivat näyttävät, missä se viimeksi nähtiin. Sininen nuoli näyttää meteorin näkyvän lennon.

static map
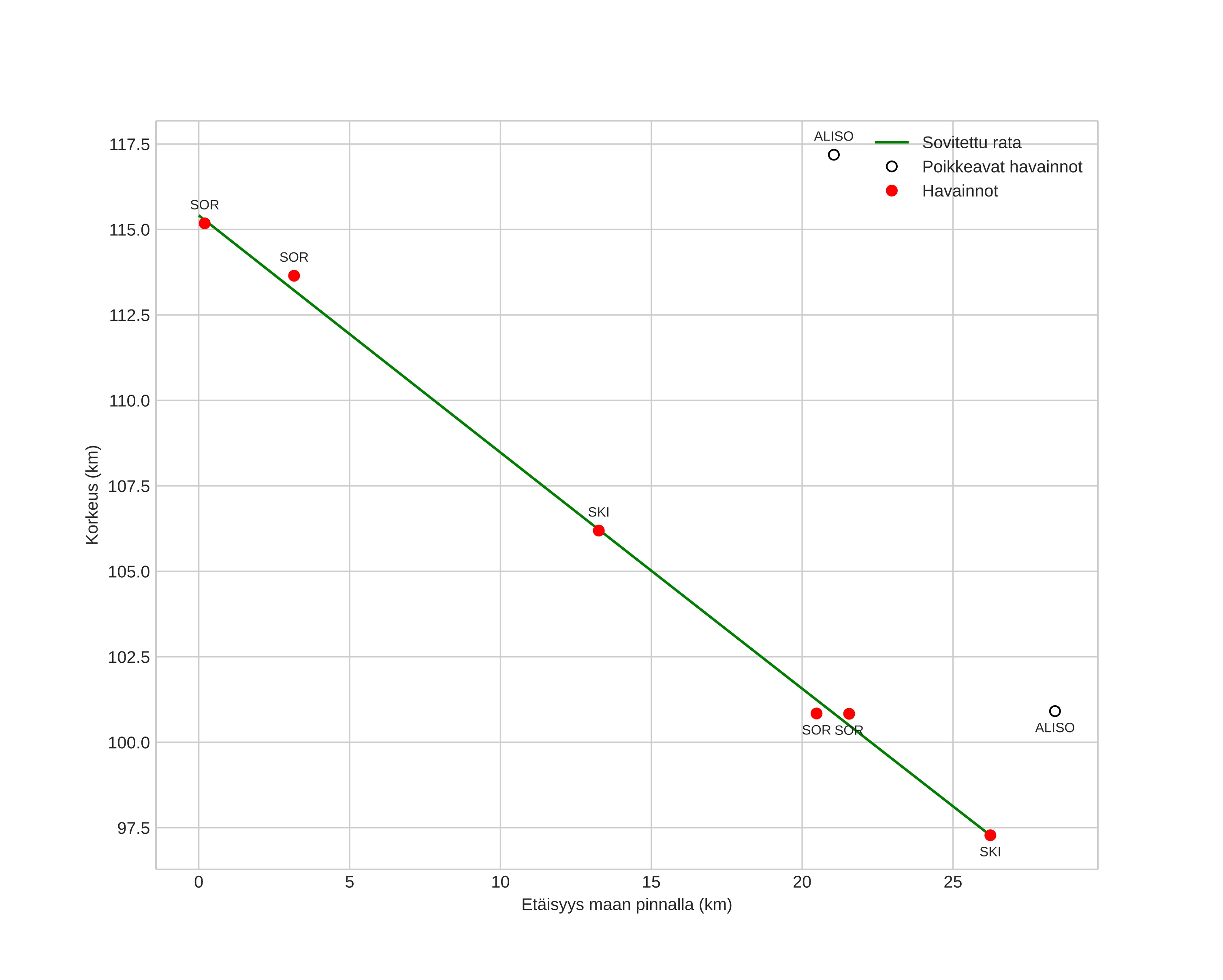
height profile
Meteorin ilmakehärata:
Alkukorkeus: 112,3 km
Loppukorkeus: 96,1 km
Alkupiste: 68,168N 20,076E
Loppupiste: 68,197N 19,502E
Suunta: 277,8°
Kallistuskulma: 34,1°
Tulonopeus: 49,9 km/s
Radiantin R,A,: 18:42 (280,6°)
Radiantin Dekl,: 27,9°
Meteoriparvi: Sporadinen
Meteoroidin rataelementit:
Perihelietäisyys: 0,990 AU
Eksentrisyys: 0,616
Inklinaatio: 91,0°
Nousevan solmun pituus: 22,7°
Perihelin argumentti: 194,7°
Keskianomalia: 357,2°
Epookki: 2022 APR 12 23:21:28
orbit plot

Ei-interaktiivinen kuvaaja | Interaktiivinen kuvaaja

position vs time
speed and acceleration