🇳🇴 🇬🇧 🇩🇪 🇨🇿 🇫🇮

Meteor, poloha: Malmköping 2022-04-15 00:16:38 UTC

Soubor KML  |  InteraktivnĂ­ mapa

Mapa zobrazuje dráhy meteoru. Světlejší čáry ukazují směry od pozorovacích stanic při objevení se meteoru a tmavší čáry, kde byl naposledy viděn. Modrá šipka značí viditelnou dráhu meteoru.

static map
height profile
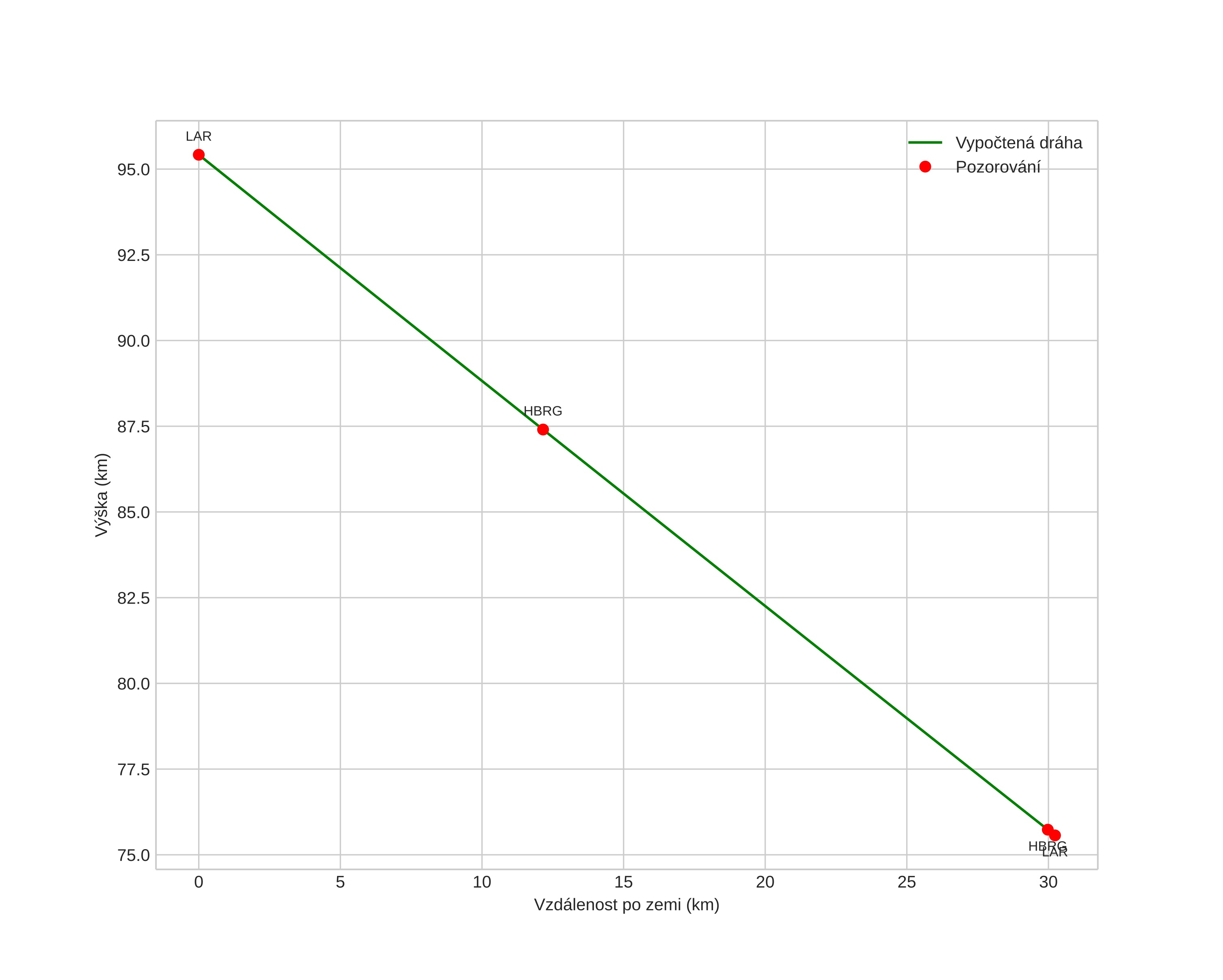
Atmosférická dráha meteoru:
Počáteční výška: 95,5 km
Konečná výška: 75,6 km
Počáteční poloha: 58,749N 16,576E
Konečná poloha: 58,985N 16,838E
Směr: 29,7°
Sklon: 33,4°
VstupnĂ­ rychlost: 27,1 km/s
Rektascenze radiantu: 13:11 (197,8°)
Deklinace radiantu: 2,7°
MeteorickĂ˝ roj: sporadickĂ˝
Elementy dráhy meteoroidu:
Vzdálenost v periheliu: 0,667 AU
Excentricita: 0,958
Sklon dráhy: 6,9°
Délka vzestupného uzlu: 24,7°
Argument perihelia: 251,6°
Střední anomálie: 359,4°
Epocha: 2022 APR 15 00:16:38
orbit plot

NeinteraktivnĂ­ graf | InteraktivnĂ­ graf

position vs time
speed and acceleration