🇳🇴 🇬🇧 🇩🇪 🇨🇿 🇫🇮

Meteor Malmköpingin yllä 2022-04-15 00:16:38 UTC

KML-tiedosto  |  Interaktiivinen kartta

Kartta näyttää meteorin suuntahavainnot. Vaaleammat viivat näyttävät suunnat havaintoasemilta meteorin ilmestyessä, ja tummemmat viivat näyttävät, missä se viimeksi nähtiin. Sininen nuoli näyttää meteorin näkyvän lennon.

static map
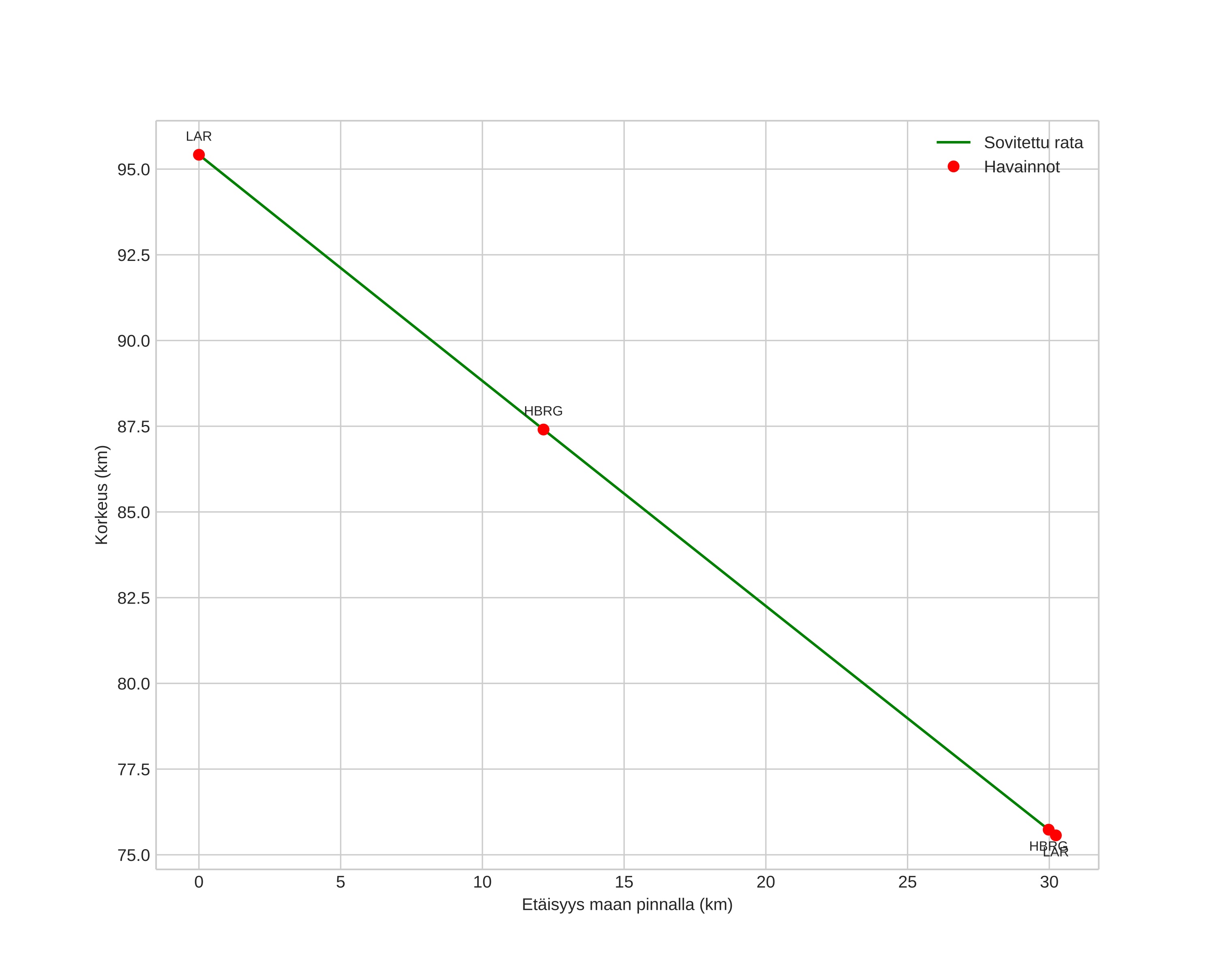
height profile
Meteorin ilmakehärata:
Alkukorkeus: 95,5 km
Loppukorkeus: 75,6 km
Alkupiste: 58,749N 16,576E
Loppupiste: 58,985N 16,838E
Suunta: 29,7°
Kallistuskulma: 33,4°
Tulonopeus: 27,1 km/s
Radiantin R,A,: 13:11 (197,8°)
Radiantin Dekl,: 2,7°
Meteoriparvi: Sporadinen
Meteoroidin rataelementit:
Perihelietäisyys: 0,667 AU
Eksentrisyys: 0,958
Inklinaatio: 6,9°
Nousevan solmun pituus: 24,7°
Perihelin argumentti: 251,6°
Keskianomalia: 359,4°
Epookki: 2022 APR 15 00:16:38
orbit plot

Ei-interaktiivinen kuvaaja | Interaktiivinen kuvaaja

position vs time
speed and acceleration