🇳🇴 🇬🇧 🇩🇪 🇨🇿 🇫🇮

Meteor, poloha: Svelvik 2022-04-16 02:43:54 UTC

Soubor KML  |  InteraktivnĂ­ mapa

Mapa zobrazuje dráhy meteoru. Světlejší čáry ukazují směry od pozorovacích stanic při objevení se meteoru a tmavší čáry, kde byl naposledy viděn. Modrá šipka značí viditelnou dráhu meteoru.

static map
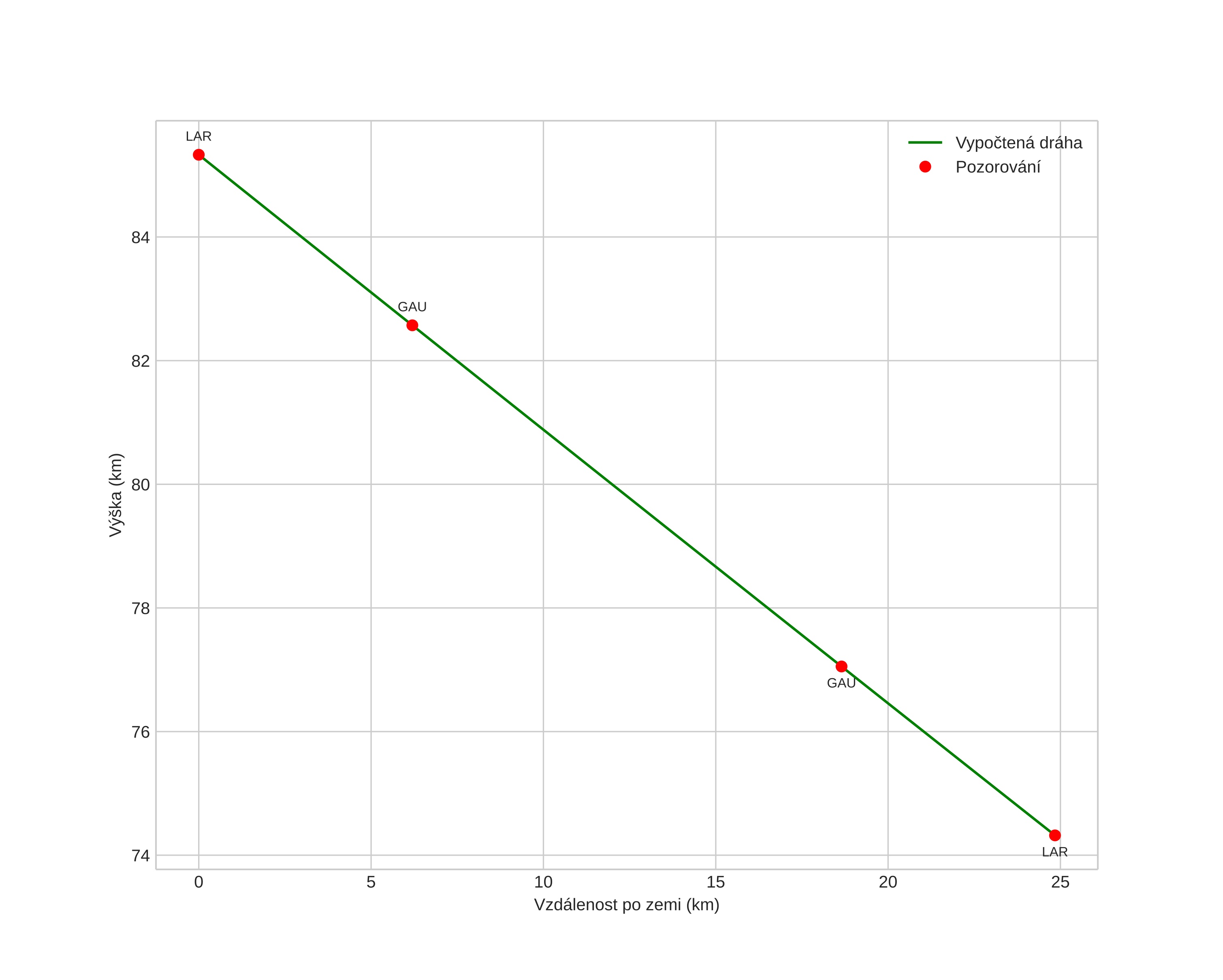
height profile
Atmosférická dráha meteoru:
Počáteční výška: 86,7 km
Konečná výška: 73,9 km
Počáteční poloha: 59,480N 10,065E
Konečná poloha: 59,653N 10,434E
Směr: 47,0°
Sklon: 24,3°
VstupnĂ­ rychlost: 26,5 km/s
Rektascenze radiantu: 14:05 (211,4°)
Deklinace radiantu: -1,0°
MeteorickĂ˝ roj: sporadickĂ˝
Elementy dráhy meteoroidu:
Vzdálenost v periheliu: 0,524 AU
Excentricita: 0,754
Sklon dráhy: 9,4°
Délka vzestupného uzlu: 25,8°
Argument perihelia: 276,4°
Střední anomálie: 345,4°
Epocha: 2022 APR 16 02:43:54
orbit plot

NeinteraktivnĂ­ graf | InteraktivnĂ­ graf

position vs time
speed and acceleration

Gaustatoppen (GAU) cam4


gnomonic
Videa
• Gnomonická
• Gnomonická se souřadnicemi
• Původní
• Původní se souřadnicemi
Obrázky
• Gnomonická
• Gnomonická se souřadnicemi
• Gnomonická s popisky
• Původní
• Původní se souřadnicemi
Textové soubory
• Detekce
• Pozorování
• Souřadnice
• Chybová hlášení
• Protokol
Jasnost