🇳🇴 🇬🇧 🇩🇪 🇨🇿 🇫🇮

Meteor Svelvikin yllä 2022-04-16 02:43:54 UTC

KML-tiedosto  |  Interaktiivinen kartta

Kartta näyttää meteorin suuntahavainnot. Vaaleammat viivat näyttävät suunnat havaintoasemilta meteorin ilmestyessä, ja tummemmat viivat näyttävät, missä se viimeksi nähtiin. Sininen nuoli näyttää meteorin näkyvän lennon.

static map
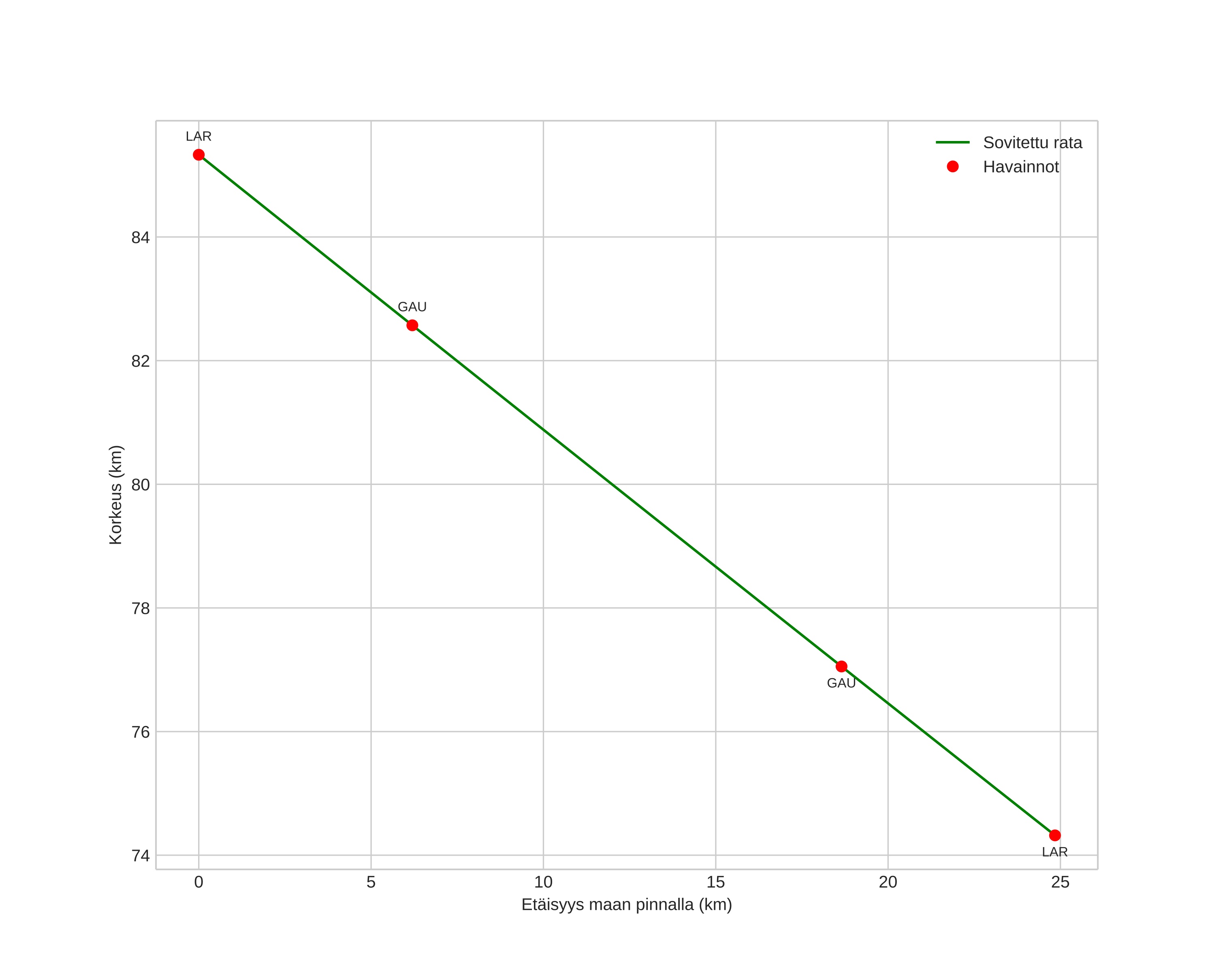
height profile
Meteorin ilmakehärata:
Alkukorkeus: 86,7 km
Loppukorkeus: 73,9 km
Alkupiste: 59,480N 10,065E
Loppupiste: 59,653N 10,434E
Suunta: 47,0°
Kallistuskulma: 24,3°
Tulonopeus: 26,5 km/s
Radiantin R,A,: 14:05 (211,4°)
Radiantin Dekl,: -1,0°
Meteoriparvi: Sporadinen
Meteoroidin rataelementit:
Perihelietäisyys: 0,524 AU
Eksentrisyys: 0,754
Inklinaatio: 9,4°
Nousevan solmun pituus: 25,8°
Perihelin argumentti: 276,4°
Keskianomalia: 345,4°
Epookki: 2022 APR 16 02:43:54
orbit plot

Ei-interaktiivinen kuvaaja | Interaktiivinen kuvaaja

position vs time
speed and acceleration

Gaustatoppen (GAU) cam4


gnomonic
Videot:
• Gnomoninen
• Gnomoninen koordinaateilla
• Alkuperäinen
• Alkuperäinen koordinaateilla
Kuvat:
• Gnomoninen
• Gnomoninen koordinaateilla
• Gnomoninen merkinnöillä
• Alkuperäinen
• Alkuperäinen koordinaateilla
Tekstitiedostot:
• Havaintoraportti
• Observaatio
• Koordinaatit
• Virheilmoitukset
• Loki
Kirkkaus

Larvik (LAR) cam2

fireball
gnomonic
Videot:
• Gnomoninen
• Gnomoninen koordinaateilla
• Alkuperäinen
• Alkuperäinen koordinaateilla
Kuvat:
• Gnomoninen
• Gnomoninen koordinaateilla
• Gnomoninen merkinnöillä
• Alkuperäinen
• Alkuperäinen koordinaateilla
• Alkuperäinen maskilla
Tekstitiedostot:
• Havaintoraportti
• Observaatio
• Koordinaatit
• Virheilmoitukset
• Loki
Kirkkaus