🇳🇴 🇬🇧 🇩🇪 🇨🇿 🇫🇮

Meteor, poloha: Risør 2022-04-18 21:08:54 UTC

Soubor KML  |  InteraktivnĂ­ mapa

Mapa zobrazuje dráhy meteoru. Světlejší čáry ukazují směry od pozorovacích stanic při objevení se meteoru a tmavší čáry, kde byl naposledy viděn. Modrá šipka značí viditelnou dráhu meteoru.

static map
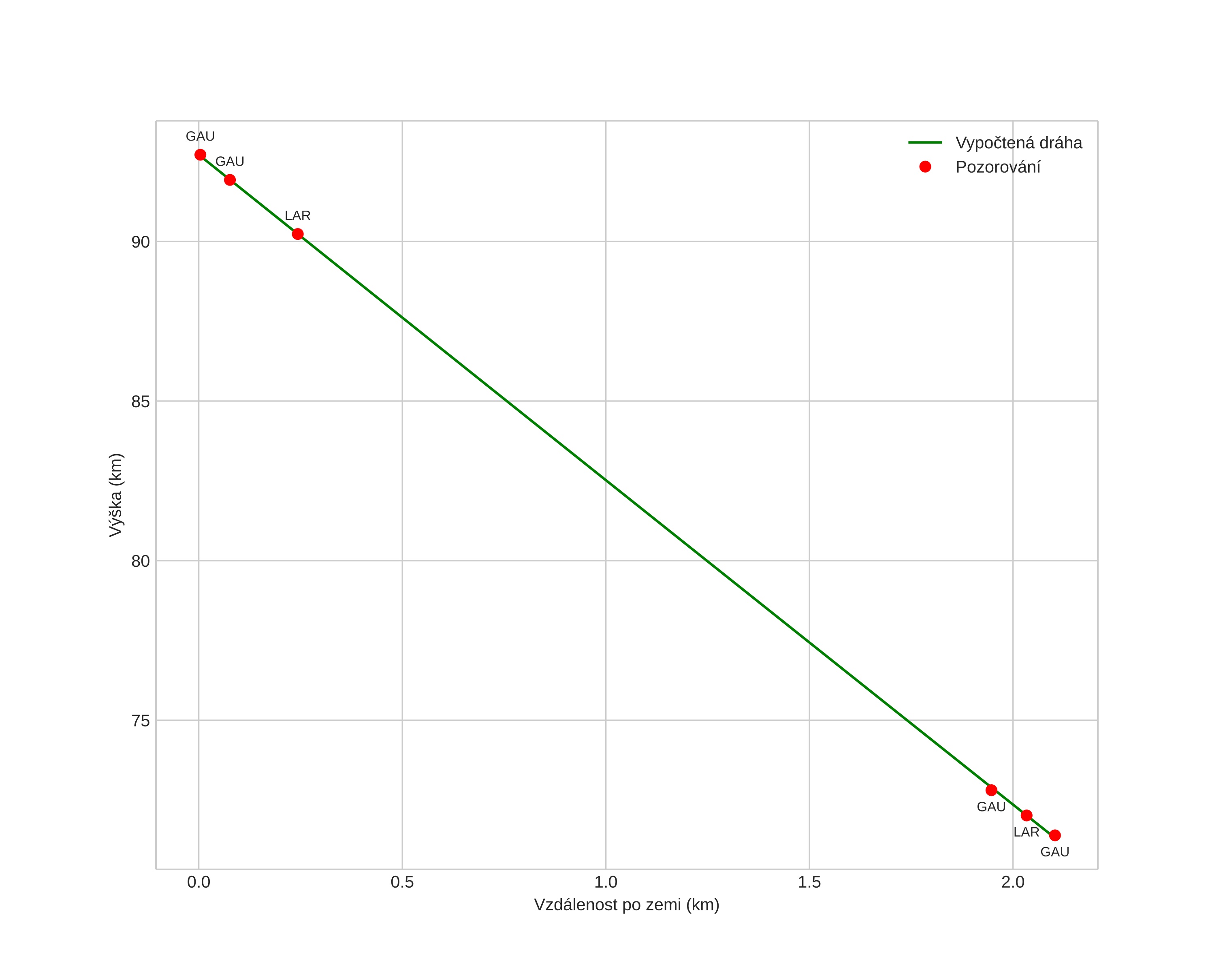
height profile
Atmosférická dráha meteoru:
Počáteční výška: 92,9 km
Konečná výška: 71,4 km
Počáteční poloha: 58,878N 9,192E
Konečná poloha: 58,860N 9,193E
Směr: 179,5°
Sklon: 84,7°
VstupnĂ­ rychlost: 17,4 km/s
Rektascenze radiantu: 11:22 (170,7°)
Deklinace radiantu: 64,8°
MeteorickĂ˝ roj: sporadickĂ˝
Elementy dráhy meteoroidu:
Vzdálenost v periheliu: 1,002 AU
Excentricita: 0,714
Sklon dráhy: 16,1°
Délka vzestupného uzlu: 28,5°
Argument perihelia: 186,2°
Střední anomálie: 359,3°
Epocha: 2022 APR 18 21:08:54
orbit plot

NeinteraktivnĂ­ graf | InteraktivnĂ­ graf

position vs time
speed and acceleration