🇳🇴 🇬🇧 🇩🇪 🇨🇿 🇫🇮

Meteor Risørin yllä 2022-04-18 21:08:54 UTC

KML-tiedosto  |  Interaktiivinen kartta

Kartta näyttää meteorin suuntahavainnot. Vaaleammat viivat näyttävät suunnat havaintoasemilta meteorin ilmestyessä, ja tummemmat viivat näyttävät, missä se viimeksi nähtiin. Sininen nuoli näyttää meteorin näkyvän lennon.

static map
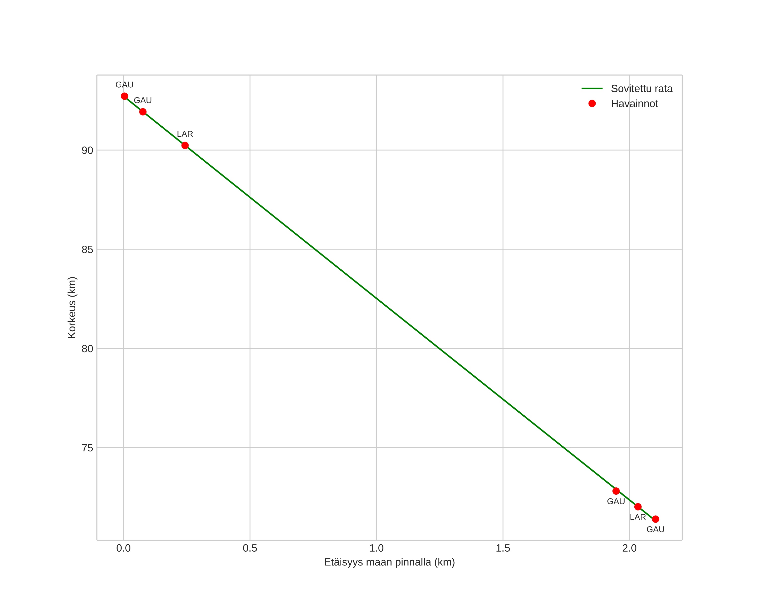
height profile
Meteorin ilmakehärata:
Alkukorkeus: 92,9 km
Loppukorkeus: 71,4 km
Alkupiste: 58,878N 9,192E
Loppupiste: 58,860N 9,193E
Suunta: 179,5°
Kallistuskulma: 84,7°
Tulonopeus: 17,4 km/s
Radiantin R,A,: 11:22 (170,7°)
Radiantin Dekl,: 64,8°
Meteoriparvi: Sporadinen
Meteoroidin rataelementit:
Perihelietäisyys: 1,002 AU
Eksentrisyys: 0,714
Inklinaatio: 16,1°
Nousevan solmun pituus: 28,5°
Perihelin argumentti: 186,2°
Keskianomalia: 359,3°
Epookki: 2022 APR 18 21:08:54
orbit plot

Ei-interaktiivinen kuvaaja | Interaktiivinen kuvaaja

position vs time
speed and acceleration