🇳🇴 🇬🇧 🇩🇪 🇨🇿 🇫🇮

Meteor, poloha: Borgheim 2022-04-18 22:06:11 UTC

Soubor KML  |  InteraktivnĂ­ mapa

Mapa zobrazuje dráhy meteoru. Světlejší čáry ukazují směry od pozorovacích stanic při objevení se meteoru a tmavší čáry, kde byl naposledy viděn. Modrá šipka značí viditelnou dráhu meteoru.

static map
height profile
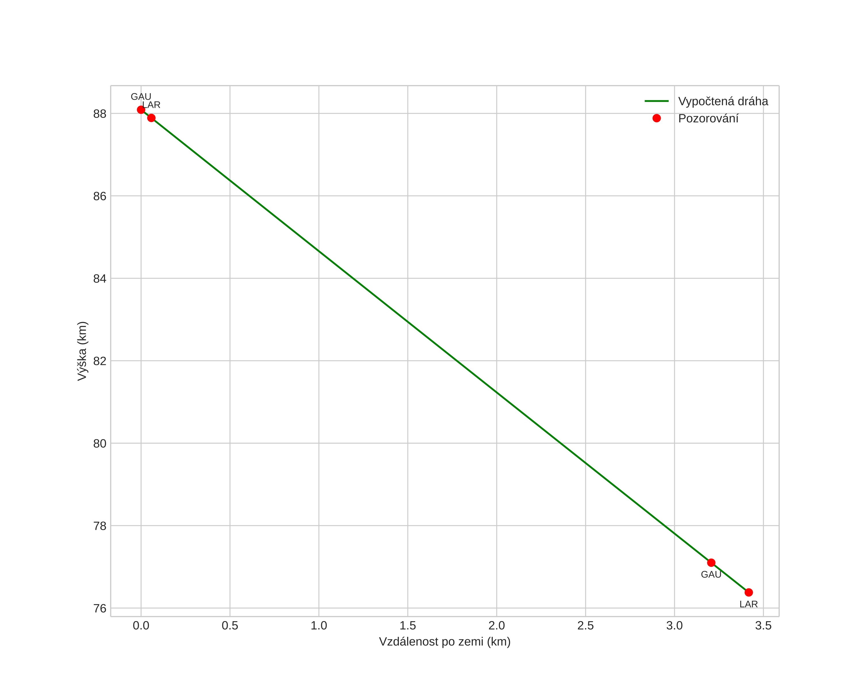
Atmosférická dráha meteoru:
Počáteční výška: 88,5 km
Konečná výška: 76,5 km
Počáteční poloha: 59,221N 10,366E
Konečná poloha: 59,200N 10,412E
Směr: 131,4°
Sklon: 73,7°
VstupnĂ­ rychlost: 15,6 km/s
Rektascenze radiantu: 09:47 (146,9°)
Deklinace radiantu: 66,7°
MeteorickĂ˝ roj: sporadickĂ˝
Elementy dráhy meteoroidu:
Vzdálenost v periheliu: 1,004 AU
Excentricita: 0,618
Sklon dráhy: 12,8°
Délka vzestupného uzlu: 28,6°
Argument perihelia: 179,0°
Střední anomálie: 0,2°
Epocha: 2022 APR 18 22:06:11
orbit plot

NeinteraktivnĂ­ graf | InteraktivnĂ­ graf

position vs time
speed and acceleration