🇳🇴 🇬🇧 🇩🇪 🇨🇿 🇫🇮

Meteor Borgheimin yllä 2022-04-18 22:06:11 UTC

KML-tiedosto  |  Interaktiivinen kartta

Kartta näyttää meteorin suuntahavainnot. Vaaleammat viivat näyttävät suunnat havaintoasemilta meteorin ilmestyessä, ja tummemmat viivat näyttävät, missä se viimeksi nähtiin. Sininen nuoli näyttää meteorin näkyvän lennon.

static map
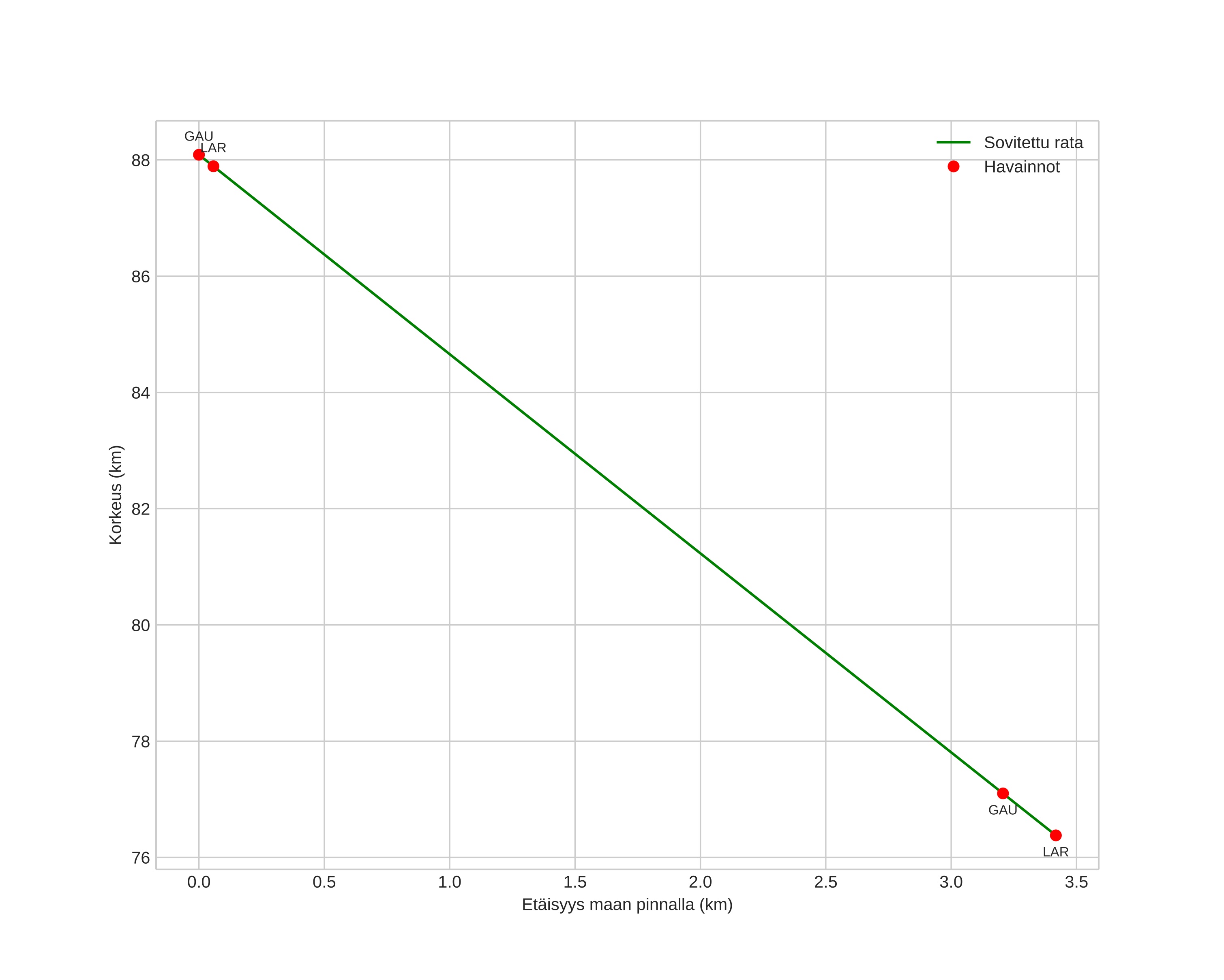
height profile
Meteorin ilmakehärata:
Alkukorkeus: 88,5 km
Loppukorkeus: 76,5 km
Alkupiste: 59,221N 10,366E
Loppupiste: 59,200N 10,412E
Suunta: 131,4°
Kallistuskulma: 73,7°
Tulonopeus: 15,6 km/s
Radiantin R,A,: 09:47 (146,9°)
Radiantin Dekl,: 66,7°
Meteoriparvi: Sporadinen
Meteoroidin rataelementit:
Perihelietäisyys: 1,004 AU
Eksentrisyys: 0,618
Inklinaatio: 12,8°
Nousevan solmun pituus: 28,6°
Perihelin argumentti: 179,0°
Keskianomalia: 0,2°
Epookki: 2022 APR 18 22:06:11
orbit plot

Ei-interaktiivinen kuvaaja | Interaktiivinen kuvaaja

position vs time
speed and acceleration