🇳🇴 🇬🇧 🇩🇪 🇨🇿 🇫🇮

Meteor, poloha: Frydenberg 2022-04-18 23:24:47 UTC

Soubor KML  |  InteraktivnĂ­ mapa

Mapa zobrazuje dráhy meteoru. Světlejší čáry ukazují směry od pozorovacích stanic při objevení se meteoru a tmavší čáry, kde byl naposledy viděn. Modrá šipka značí viditelnou dráhu meteoru.

static map
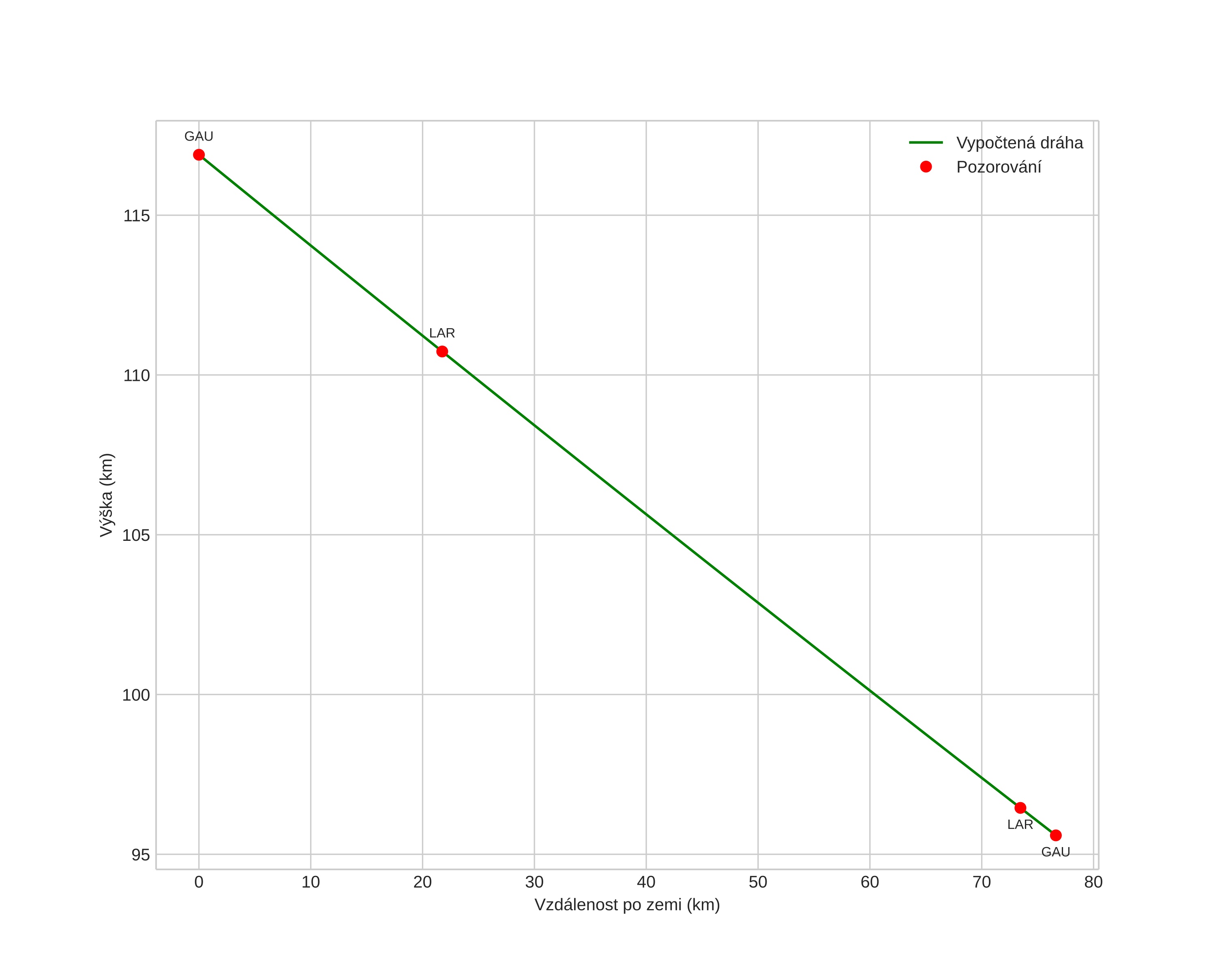
height profile
Atmosférická dráha meteoru:
Počáteční výška: 117,0 km
Konečná výška: 95,1 km
Počáteční poloha: 59,685N 12,107E
Konečná poloha: 59,922N 10,787E
Směr: 290,3°
Sklon: 15,6°
VstupnĂ­ rychlost: 67,2 km/s
Rektascenze radiantu: 18:20 (275,1°)
Deklinace radiantu: 3,1°
MeteorickĂ˝ roj: sporadickĂ˝
Elementy dráhy meteoroidu:
Vzdálenost v periheliu: 0,767 AU
Excentricita: 1,195
Sklon dráhy: 130,1°
Délka vzestupného uzlu: 28,6°
Argument perihelia: 235,5°
Střední anomálie: -3,9°
Epocha: 2022 APR 18 23:24:47
orbit plot

NeinteraktivnĂ­ graf | InteraktivnĂ­ graf

position vs time
speed and acceleration