🇳🇴 🇬🇧 🇩🇪 🇨🇿 🇫🇮

Meteor Frydenbergin yllä 2022-04-18 23:24:47 UTC

KML-tiedosto  |  Interaktiivinen kartta

Kartta näyttää meteorin suuntahavainnot. Vaaleammat viivat näyttävät suunnat havaintoasemilta meteorin ilmestyessä, ja tummemmat viivat näyttävät, missä se viimeksi nähtiin. Sininen nuoli näyttää meteorin näkyvän lennon.

static map
height profile
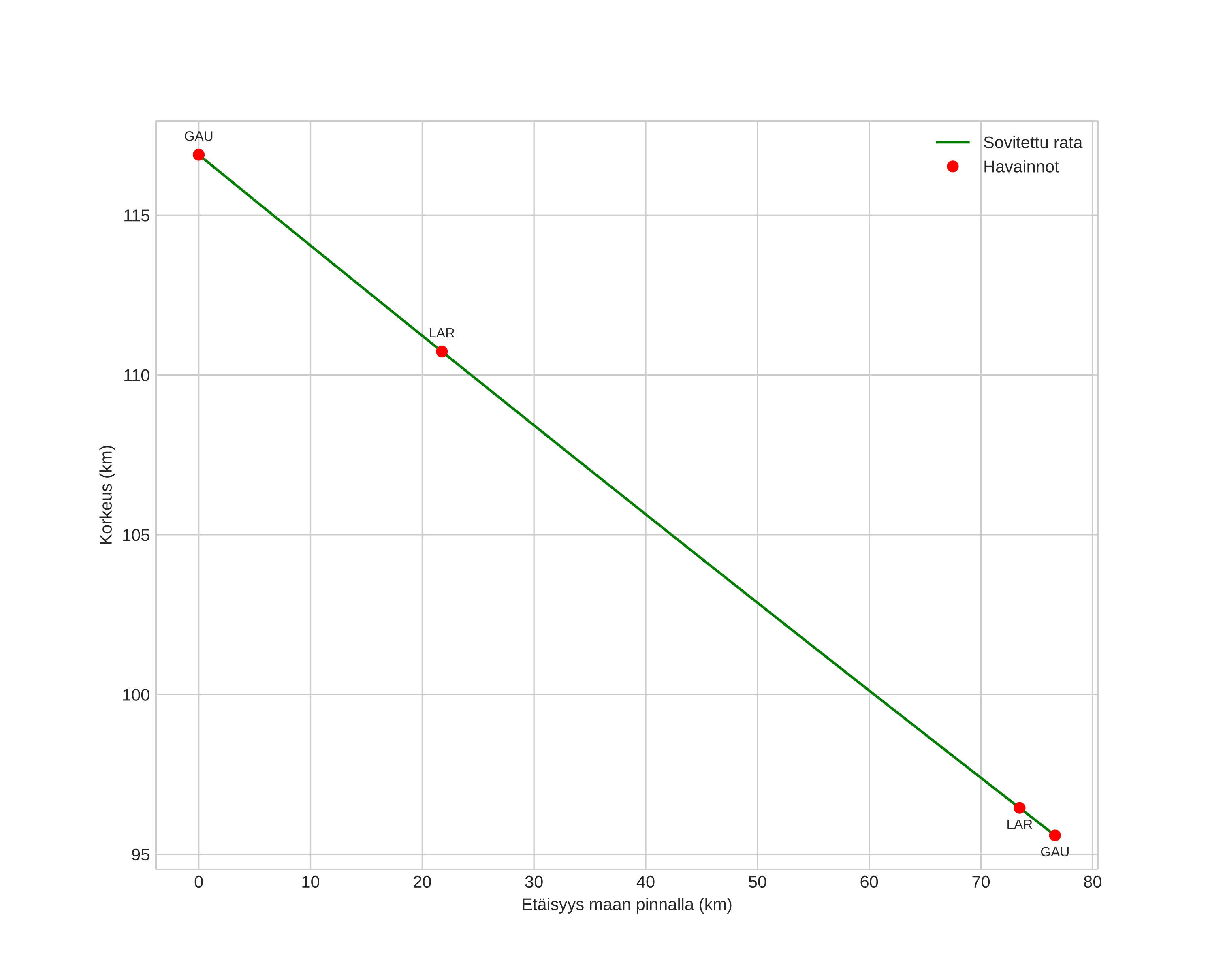
Meteorin ilmakehärata:
Alkukorkeus: 117,0 km
Loppukorkeus: 95,1 km
Alkupiste: 59,685N 12,107E
Loppupiste: 59,922N 10,787E
Suunta: 290,3°
Kallistuskulma: 15,6°
Tulonopeus: 67,2 km/s
Radiantin R,A,: 18:20 (275,1°)
Radiantin Dekl,: 3,1°
Meteoriparvi: Sporadinen
Meteoroidin rataelementit:
Perihelietäisyys: 0,767 AU
Eksentrisyys: 1,195
Inklinaatio: 130,1°
Nousevan solmun pituus: 28,6°
Perihelin argumentti: 235,5°
Keskianomalia: -3,9°
Epookki: 2022 APR 18 23:24:47
orbit plot

Ei-interaktiivinen kuvaaja | Interaktiivinen kuvaaja

position vs time
speed and acceleration