🇳🇴 🇬🇧 🇩🇪 🇨🇿 🇫🇮

Meteor, poloha: Ă…mot 2022-04-20 22:44:11 UTC

Soubor KML  |  InteraktivnĂ­ mapa

Mapa zobrazuje dráhy meteoru. Světlejší čáry ukazují směry od pozorovacích stanic při objevení se meteoru a tmavší čáry, kde byl naposledy viděn. Modrá šipka značí viditelnou dráhu meteoru.

static map
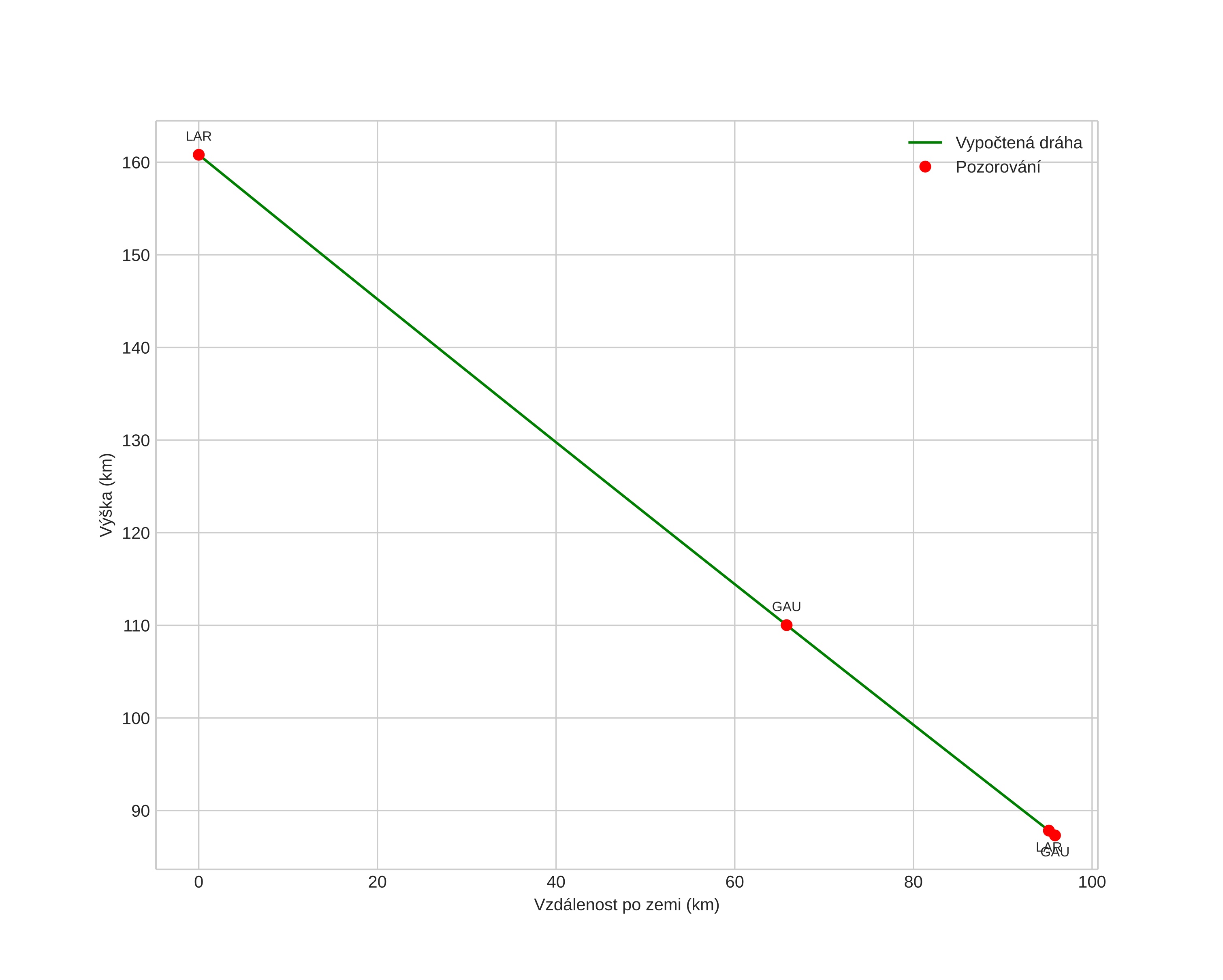
height profile
Atmosférická dráha meteoru:
Počáteční výška: 111,4 km
Konečná výška: 87,4 km
Počáteční poloha: 60,028N 8,565E
Konečná poloha: 60,012N 8,025E
Směr: 266,8°
Sklon: 38,6°
VstupnĂ­ rychlost: 47,4 km/s
Rektascenze radiantu: 17:57 (269,3°)
Deklinace radiantu: 33,7°
MeteorickĂ˝ roj: Lyridy
Elementy dráhy meteoroidu:
Vzdálenost v periheliu: 0,910 AU
Excentricita: 0,947
Sklon dráhy: 77,7°
Délka vzestupného uzlu: 30,5°
Argument perihelia: 216,3°
Střední anomálie: 359,7°
Epocha: 2022 APR 20 22:44:11
orbit plot

NeinteraktivnĂ­ graf | InteraktivnĂ­ graf

position vs time
speed and acceleration