🇳🇴 🇬🇧 🇩🇪 🇨🇿 🇫🇮

Meteor Åmotin yllä 2022-04-20 22:44:11 UTC

KML-tiedosto  |  Interaktiivinen kartta

Kartta näyttää meteorin suuntahavainnot. Vaaleammat viivat näyttävät suunnat havaintoasemilta meteorin ilmestyessä, ja tummemmat viivat näyttävät, missä se viimeksi nähtiin. Sininen nuoli näyttää meteorin näkyvän lennon.

static map
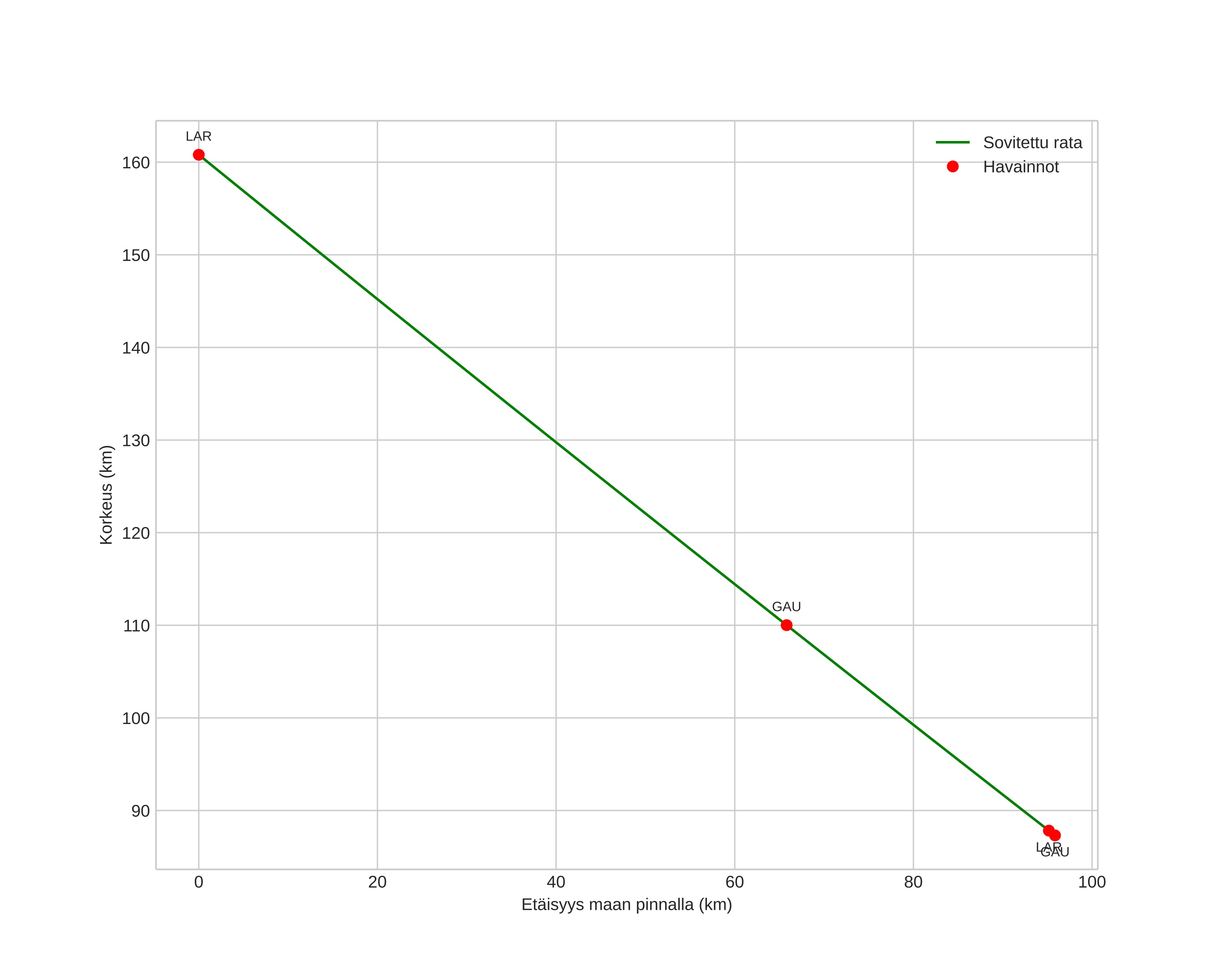
height profile
Meteorin ilmakehärata:
Alkukorkeus: 111,4 km
Loppukorkeus: 87,4 km
Alkupiste: 60,028N 8,565E
Loppupiste: 60,012N 8,025E
Suunta: 266,8°
Kallistuskulma: 38,6°
Tulonopeus: 47,4 km/s
Radiantin R,A,: 17:57 (269,3°)
Radiantin Dekl,: 33,7°
Meteoriparvi: Lyridit
Meteoroidin rataelementit:
Perihelietäisyys: 0,910 AU
Eksentrisyys: 0,947
Inklinaatio: 77,7°
Nousevan solmun pituus: 30,5°
Perihelin argumentti: 216,3°
Keskianomalia: 359,7°
Epookki: 2022 APR 20 22:44:11
orbit plot

Ei-interaktiivinen kuvaaja | Interaktiivinen kuvaaja

position vs time
speed and acceleration