🇳🇴 🇬🇧 🇩🇪 🇨🇿 🇫🇮

Meteor, poloha: Grebbestad 2022-04-21 00:33:14 UTC

Soubor KML  |  InteraktivnĂ­ mapa

Mapa zobrazuje dráhy meteoru. Světlejší čáry ukazují směry od pozorovacích stanic při objevení se meteoru a tmavší čáry, kde byl naposledy viděn. Modrá šipka značí viditelnou dráhu meteoru.

static map
height profile
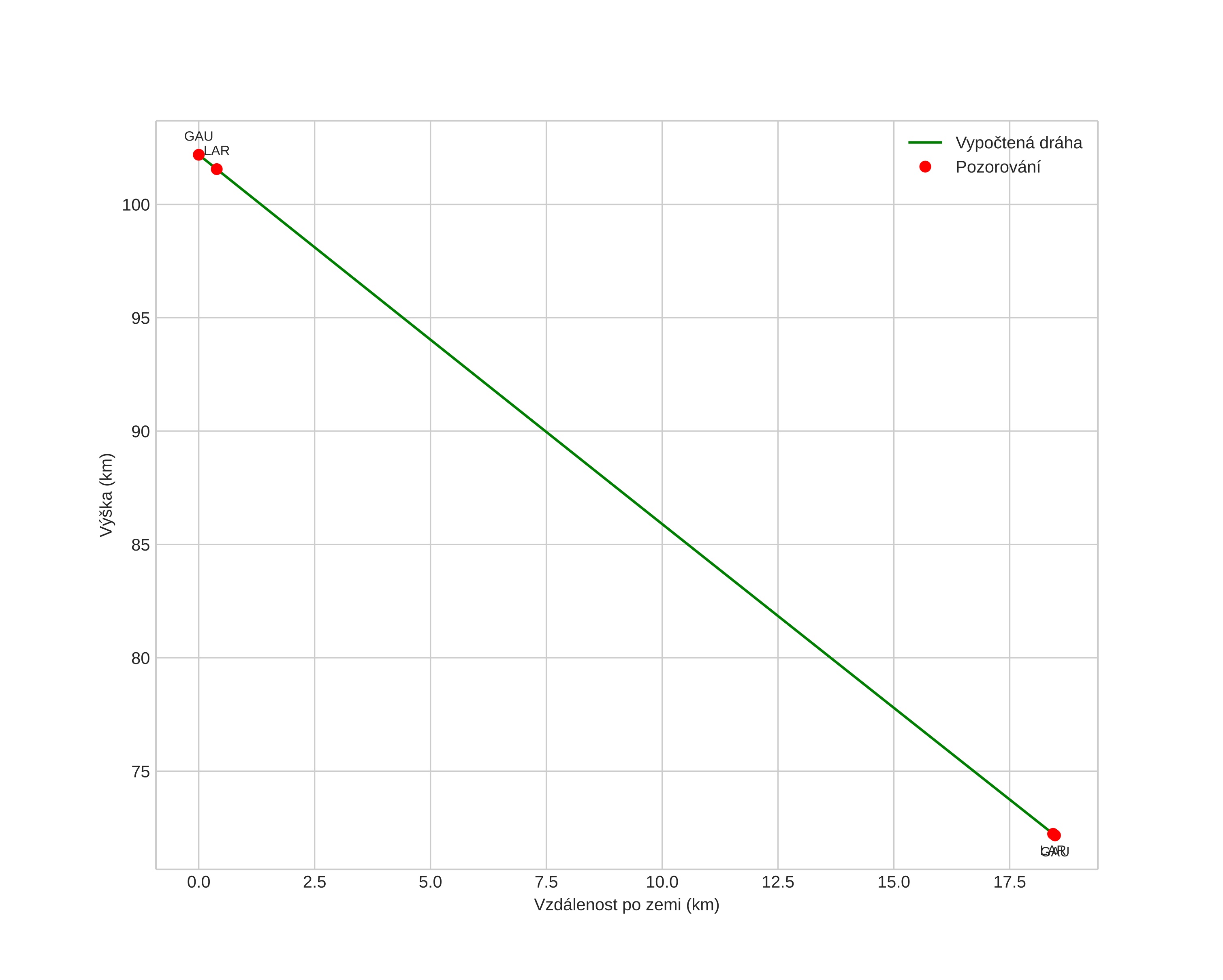
Atmosférická dráha meteoru:
Počáteční výška: 102,0 km
Konečná výška: 72,1 km
Počáteční poloha: 58,724N 11,354E
Konečná poloha: 58,661N 11,062E
Směr: 247,4°
Sklon: 58,5°
VstupnĂ­ rychlost: 34,2 km/s
Rektascenze radiantu: 19:20 (290,1°)
Deklinace radiantu: 56,1°
MeteorickĂ˝ roj: sporadickĂ˝
Elementy dráhy meteoroidu:
Vzdálenost v periheliu: 0,996 AU
Excentricita: 0,688
Sklon dráhy: 54,5°
Délka vzestupného uzlu: 30,6°
Argument perihelia: 167,9°
Střední anomálie: 1,6°
Epocha: 2022 APR 21 00:33:14
orbit plot

NeinteraktivnĂ­ graf | InteraktivnĂ­ graf

position vs time
speed and acceleration