🇳🇴 🇬🇧 🇩🇪 🇨🇿 🇫🇮

Meteor Grebbestadin yllä 2022-04-21 00:33:14 UTC

KML-tiedosto  |  Interaktiivinen kartta

Kartta näyttää meteorin suuntahavainnot. Vaaleammat viivat näyttävät suunnat havaintoasemilta meteorin ilmestyessä, ja tummemmat viivat näyttävät, missä se viimeksi nähtiin. Sininen nuoli näyttää meteorin näkyvän lennon.

static map
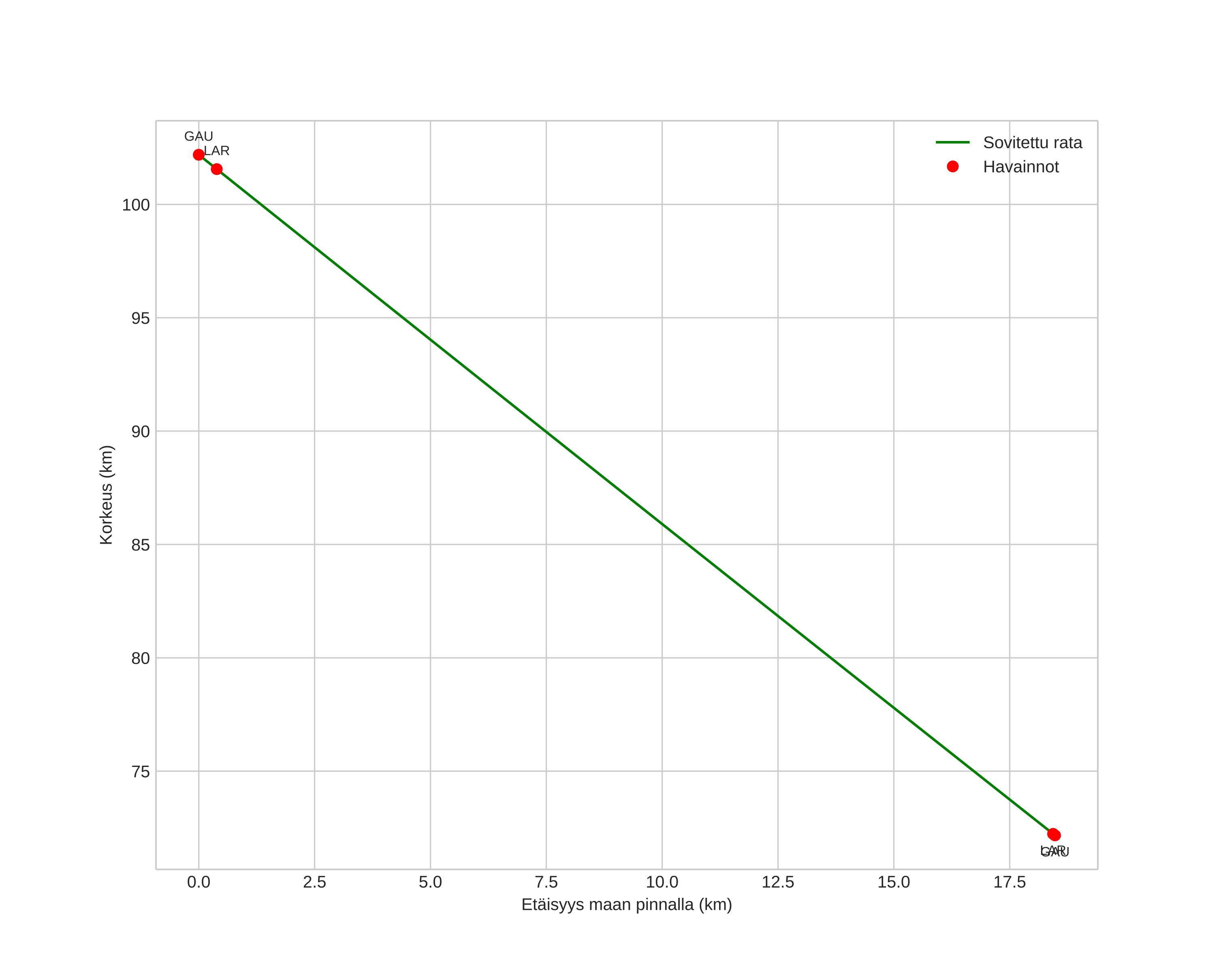
height profile
Meteorin ilmakehärata:
Alkukorkeus: 102,0 km
Loppukorkeus: 72,1 km
Alkupiste: 58,724N 11,354E
Loppupiste: 58,661N 11,062E
Suunta: 247,4°
Kallistuskulma: 58,5°
Tulonopeus: 34,2 km/s
Radiantin R,A,: 19:20 (290,1°)
Radiantin Dekl,: 56,1°
Meteoriparvi: Sporadinen
Meteoroidin rataelementit:
Perihelietäisyys: 0,996 AU
Eksentrisyys: 0,688
Inklinaatio: 54,5°
Nousevan solmun pituus: 30,6°
Perihelin argumentti: 167,9°
Keskianomalia: 1,6°
Epookki: 2022 APR 21 00:33:14
orbit plot

Ei-interaktiivinen kuvaaja | Interaktiivinen kuvaaja

position vs time
speed and acceleration