🇳🇴 🇬🇧 🇩🇪 🇨🇿 🇫🇮

Meteor, poloha: Harboøre 2022-04-21 21:39:06 UTC

Soubor KML  |  InteraktivnĂ­ mapa

Mapa zobrazuje dráhy meteoru. Světlejší čáry ukazují směry od pozorovacích stanic při objevení se meteoru a tmavší čáry, kde byl naposledy viděn. Modrá šipka značí viditelnou dráhu meteoru.

static map
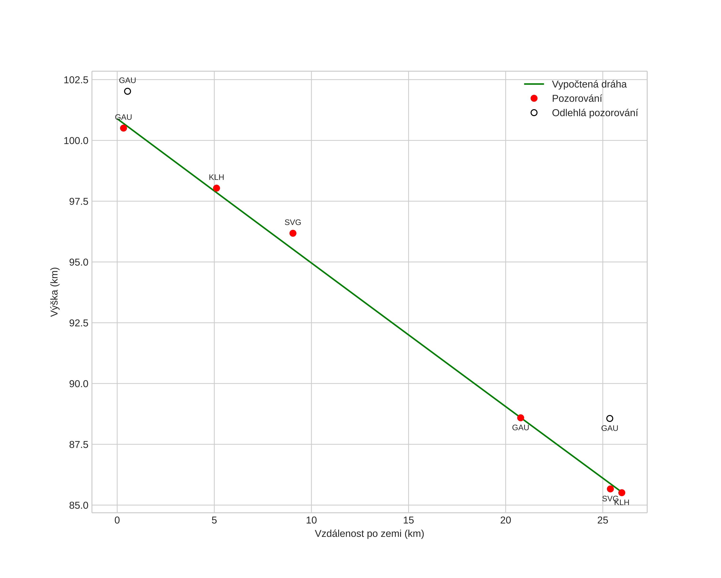
height profile
Atmosférická dráha meteoru:
Počáteční výška: 101,5 km
Konečná výška: 87,7 km
Počáteční poloha: 56,604N 8,466E
Konečná poloha: 56,533N 8,091E
Směr: 251,1°
Sklon: 29,6°
VstupnĂ­ rychlost: 48,8 km/s
Rektascenze radiantu: 18:03 (271,0°)
Deklinace radiantu: 34,0°
MeteorickĂ˝ roj: Lyridy
Elementy dráhy meteoroidu:
Vzdálenost v periheliu: 0,923 AU
Excentricita: 1,036
Sklon dráhy: 79,3°
Délka vzestupného uzlu: 31,5°
Argument perihelia: 213,0°
Střední anomálie: -0,2°
Epocha: 2022 APR 21 21:39:06
orbit plot

NeinteraktivnĂ­ graf | InteraktivnĂ­ graf

position vs time
speed and acceleration