🇳🇴 🇬🇧 🇩🇪 🇨🇿 🇫🇮

Meteor Harboøren yllä 2022-04-21 21:39:06 UTC

KML-tiedosto  |  Interaktiivinen kartta

Kartta näyttää meteorin suuntahavainnot. Vaaleammat viivat näyttävät suunnat havaintoasemilta meteorin ilmestyessä, ja tummemmat viivat näyttävät, missä se viimeksi nähtiin. Sininen nuoli näyttää meteorin näkyvän lennon.

static map
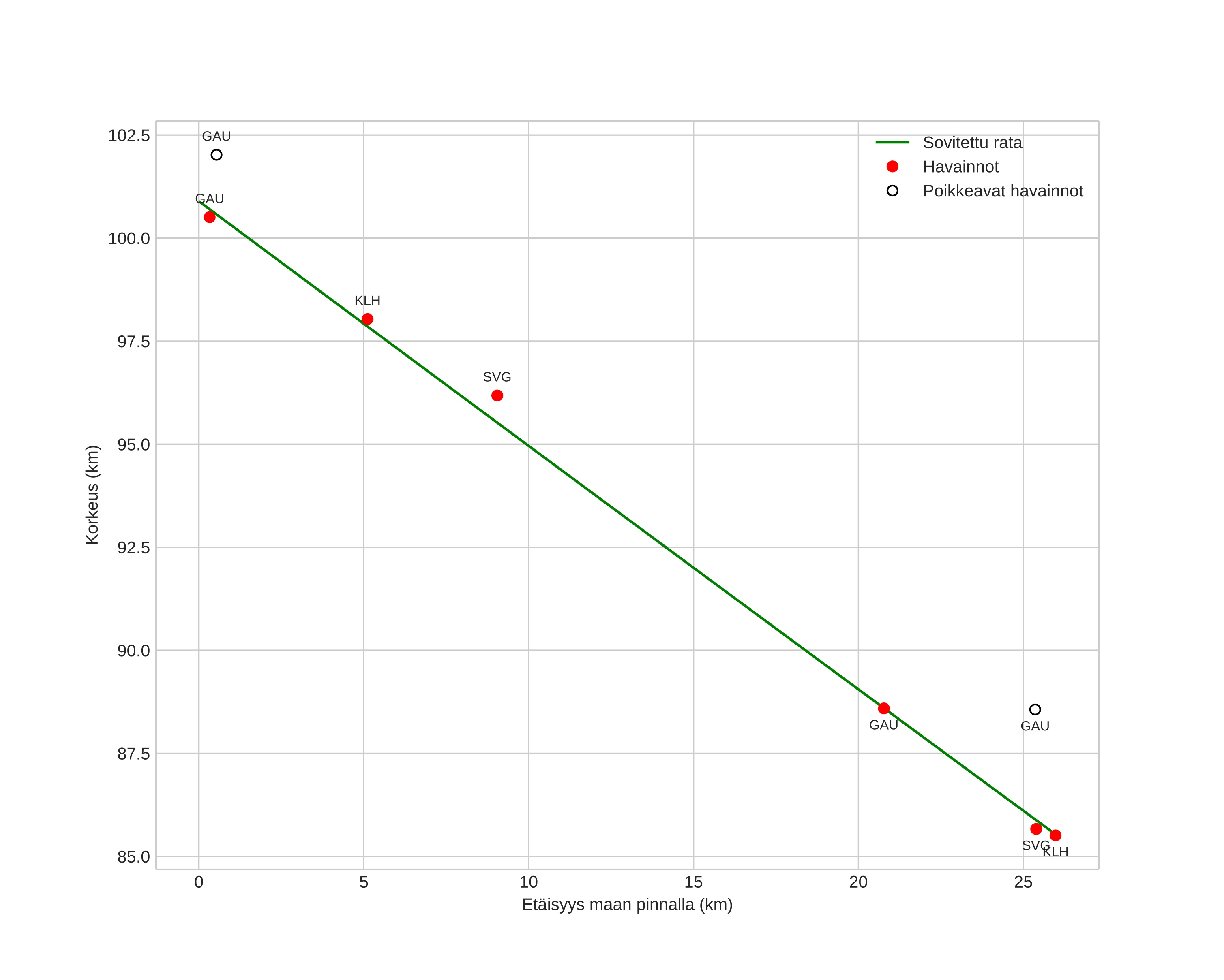
height profile
Meteorin ilmakehärata:
Alkukorkeus: 101,5 km
Loppukorkeus: 87,7 km
Alkupiste: 56,604N 8,466E
Loppupiste: 56,533N 8,091E
Suunta: 251,1°
Kallistuskulma: 29,6°
Tulonopeus: 48,8 km/s
Radiantin R,A,: 18:03 (271,0°)
Radiantin Dekl,: 34,0°
Meteoriparvi: Lyridit
Meteoroidin rataelementit:
Perihelietäisyys: 0,923 AU
Eksentrisyys: 1,036
Inklinaatio: 79,3°
Nousevan solmun pituus: 31,5°
Perihelin argumentti: 213,0°
Keskianomalia: -0,2°
Epookki: 2022 APR 21 21:39:06
orbit plot

Ei-interaktiivinen kuvaaja | Interaktiivinen kuvaaja

position vs time
speed and acceleration