🇳🇴 🇬🇧 🇩🇪 🇨🇿 🇫🇮

Meteor, poloha: Abborrberget 2022-04-22 00:50:01 UTC

Soubor KML  |  InteraktivnĂ­ mapa

Mapa zobrazuje dráhy meteoru. Světlejší čáry ukazují směry od pozorovacích stanic při objevení se meteoru a tmavší čáry, kde byl naposledy viděn. Modrá šipka značí viditelnou dráhu meteoru.

static map
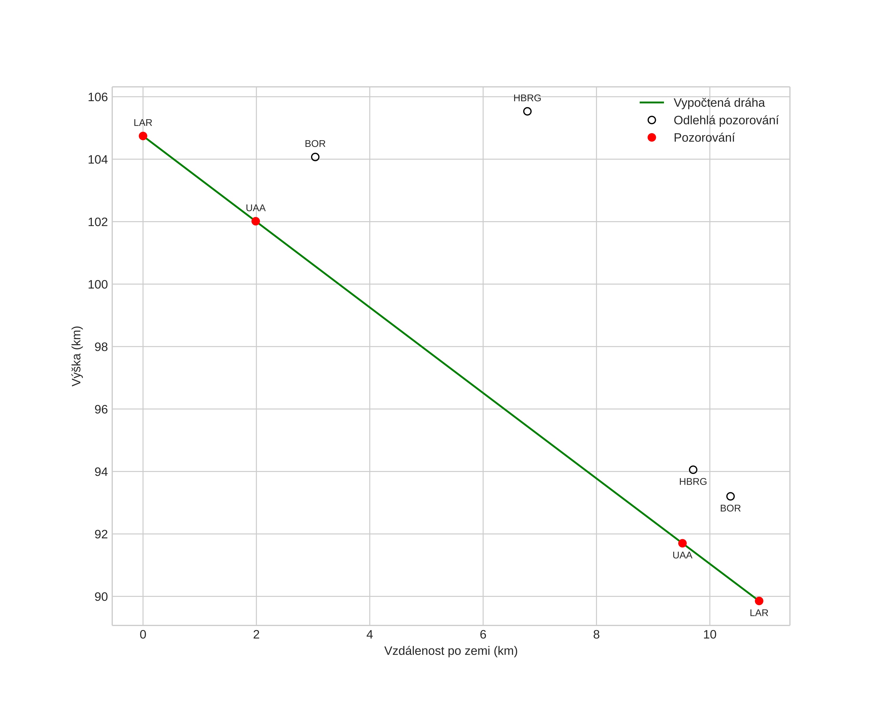
height profile
Atmosférická dráha meteoru:
Počáteční výška: 104,8 km
Konečná výška: 90,1 km
Počáteční poloha: 60,103N 14,950E
Konečná poloha: 60,154N 14,794E
Směr: 303,6°
Sklon: 54,9°
VstupnĂ­ rychlost: 47,7 km/s
Rektascenze radiantu: 18:08 (272,2°)
Deklinace radiantu: 33,0°
MeteorickĂ˝ roj: Lyridy
Elementy dráhy meteoroidu:
Vzdálenost v periheliu: 0,919 AU
Excentricita: 0,901
Sklon dráhy: 79,6°
Délka vzestupného uzlu: 31,6°
Argument perihelia: 215,0°
Střední anomálie: 359,2°
Epocha: 2022 APR 22 00:50:01
orbit plot

NeinteraktivnĂ­ graf | InteraktivnĂ­ graf

position vs time
speed and acceleration