🇳🇴 🇬🇧 🇩🇪 🇨🇿 🇫🇮

Meteor Abborrbergetin yllä 2022-04-22 00:50:01 UTC

KML-tiedosto  |  Interaktiivinen kartta

Kartta näyttää meteorin suuntahavainnot. Vaaleammat viivat näyttävät suunnat havaintoasemilta meteorin ilmestyessä, ja tummemmat viivat näyttävät, missä se viimeksi nähtiin. Sininen nuoli näyttää meteorin näkyvän lennon.

static map
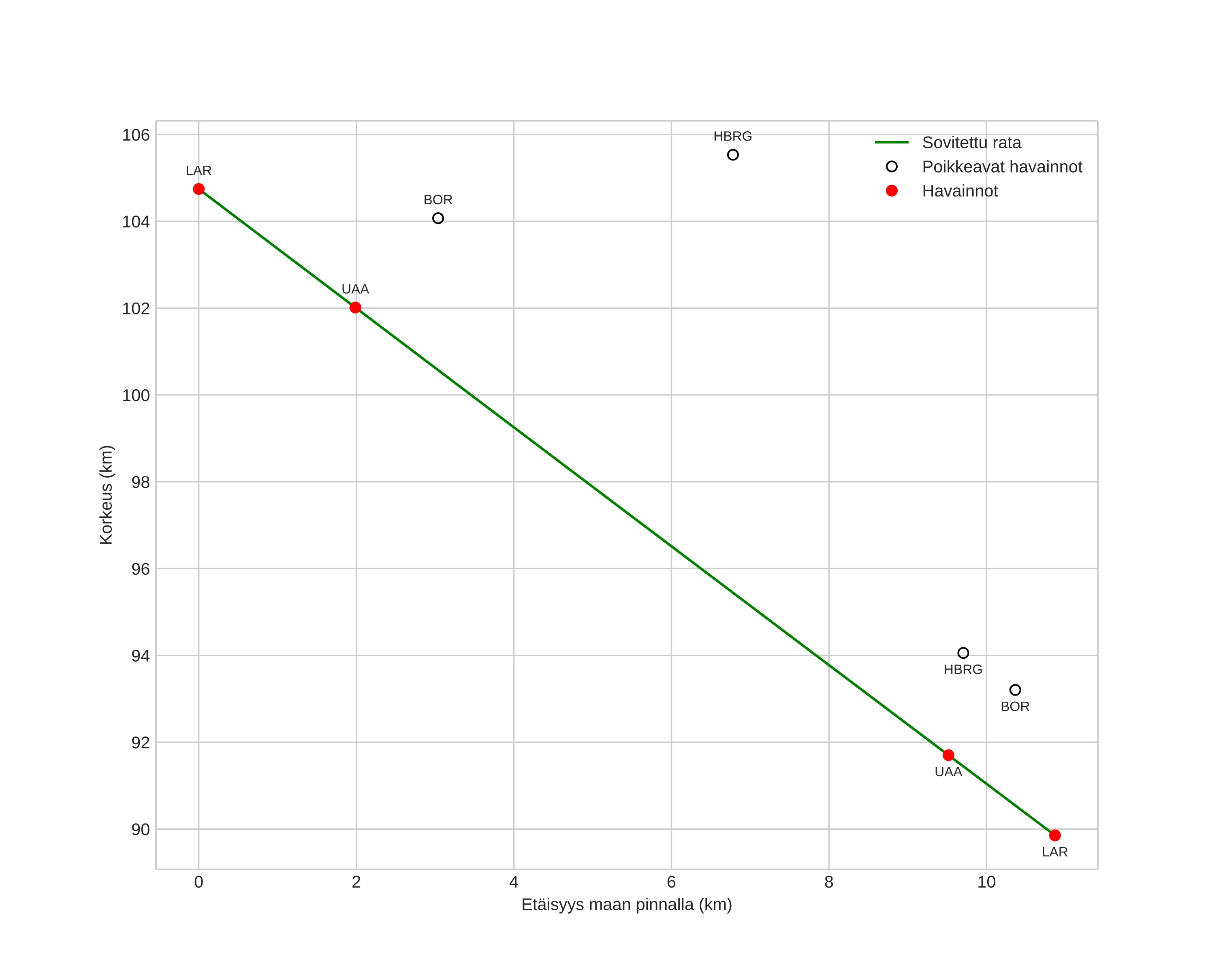
height profile
Meteorin ilmakehärata:
Alkukorkeus: 104,8 km
Loppukorkeus: 90,1 km
Alkupiste: 60,103N 14,950E
Loppupiste: 60,154N 14,794E
Suunta: 303,6°
Kallistuskulma: 54,9°
Tulonopeus: 47,7 km/s
Radiantin R,A,: 18:08 (272,2°)
Radiantin Dekl,: 33,0°
Meteoriparvi: Lyridit
Meteoroidin rataelementit:
Perihelietäisyys: 0,919 AU
Eksentrisyys: 0,901
Inklinaatio: 79,6°
Nousevan solmun pituus: 31,6°
Perihelin argumentti: 215,0°
Keskianomalia: 359,2°
Epookki: 2022 APR 22 00:50:01
orbit plot

Ei-interaktiivinen kuvaaja | Interaktiivinen kuvaaja

position vs time
speed and acceleration