🇳🇴 🇬🇧 🇩🇪 🇨🇿 🇫🇮

Meteor, poloha: Vänersborg 2022-04-22 01:08:47 UTC

Soubor KML  |  InteraktivnĂ­ mapa

Mapa zobrazuje dráhy meteoru. Světlejší čáry ukazují směry od pozorovacích stanic při objevení se meteoru a tmavší čáry, kde byl naposledy viděn. Modrá šipka značí viditelnou dráhu meteoru.

static map
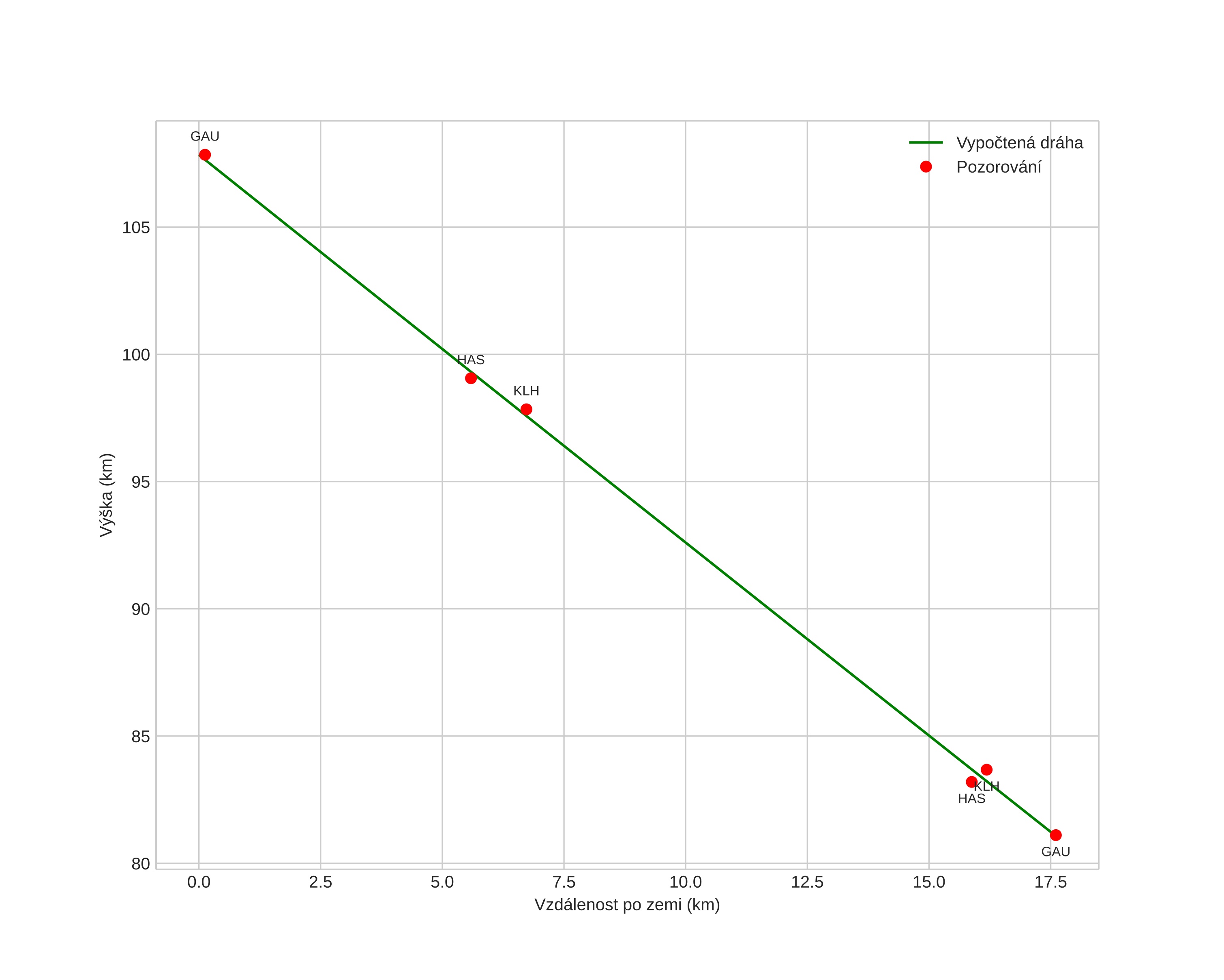
height profile
Atmosférická dráha meteoru:
Počáteční výška: 107,7 km
Konečná výška: 81,2 km
Počáteční poloha: 58,297N 12,549E
Konečná poloha: 58,393N 12,313E
Směr: 307,7°
Sklon: 56,7°
VstupnĂ­ rychlost: 54,3 km/s
Rektascenze radiantu: 18:01 (270,4°)
Deklinace radiantu: 31,9°
MeteorickĂ˝ roj: Lyridy
Elementy dráhy meteoroidu:
Vzdálenost v periheliu: 0,913 AU
Excentricita: 1,392
Sklon dráhy: 85,0°
Délka vzestupného uzlu: 31,6°
Argument perihelia: 212,5°
Střední anomálie: -5,5°
Epocha: 2022 APR 22 01:08:47
orbit plot

NeinteraktivnĂ­ graf | InteraktivnĂ­ graf

position vs time
speed and acceleration