🇳🇴 🇬🇧 🇩🇪 🇨🇿 🇫🇮

Meteor Vänersborgin yllä 2022-04-22 01:08:47 UTC

KML-tiedosto  |  Interaktiivinen kartta

Kartta näyttää meteorin suuntahavainnot. Vaaleammat viivat näyttävät suunnat havaintoasemilta meteorin ilmestyessä, ja tummemmat viivat näyttävät, missä se viimeksi nähtiin. Sininen nuoli näyttää meteorin näkyvän lennon.

static map
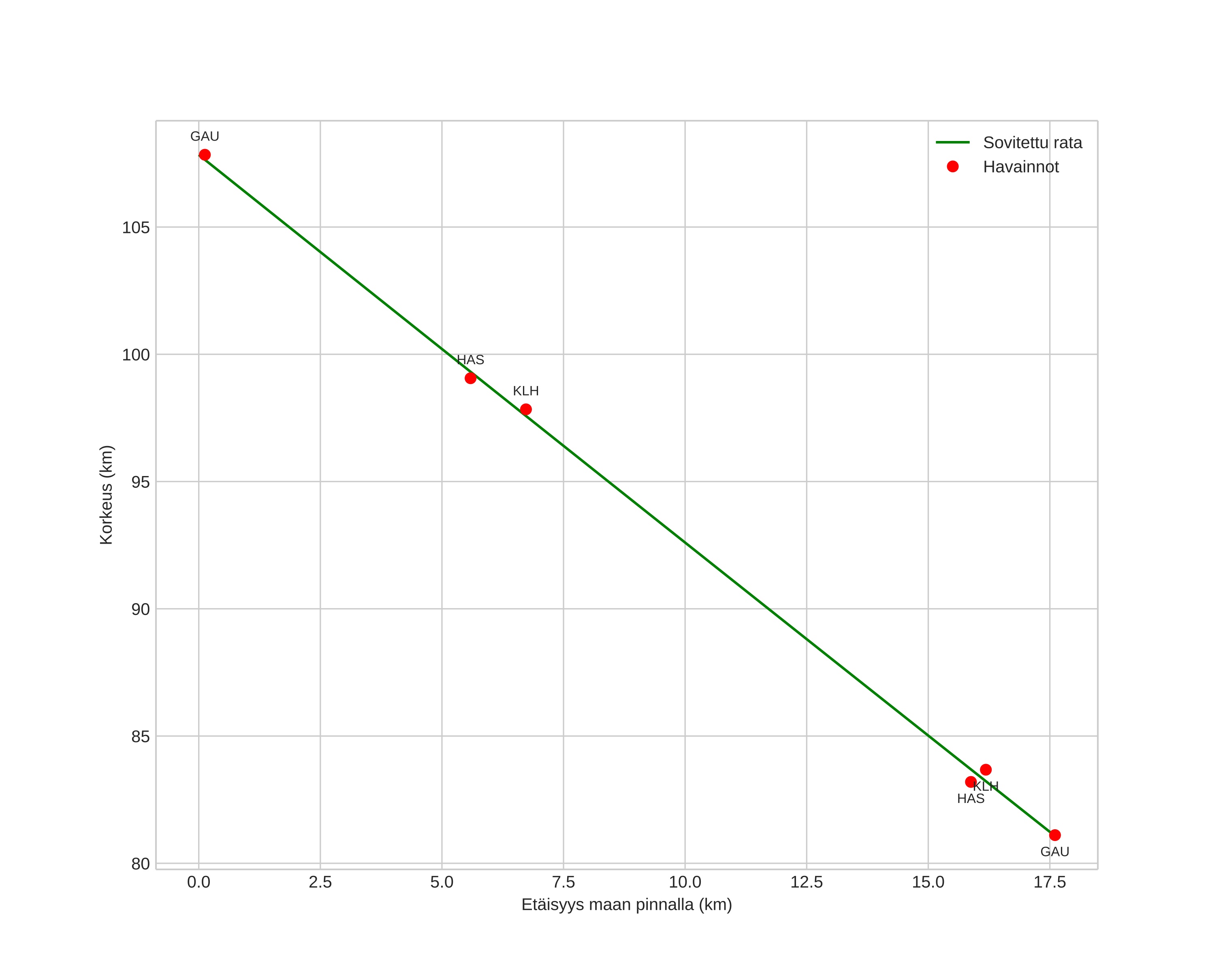
height profile
Meteorin ilmakehärata:
Alkukorkeus: 107,7 km
Loppukorkeus: 81,2 km
Alkupiste: 58,297N 12,549E
Loppupiste: 58,393N 12,313E
Suunta: 307,7°
Kallistuskulma: 56,7°
Tulonopeus: 54,3 km/s
Radiantin R,A,: 18:01 (270,4°)
Radiantin Dekl,: 31,9°
Meteoriparvi: Lyridit
Meteoroidin rataelementit:
Perihelietäisyys: 0,913 AU
Eksentrisyys: 1,392
Inklinaatio: 85,0°
Nousevan solmun pituus: 31,6°
Perihelin argumentti: 212,5°
Keskianomalia: -5,5°
Epookki: 2022 APR 22 01:08:47
orbit plot

Ei-interaktiivinen kuvaaja | Interaktiivinen kuvaaja

position vs time
speed and acceleration