🇳🇴 🇬🇧 🇩🇪 🇨🇿 🇫🇮

Meteor, poloha: Träslövsläge 2022-04-22 01:24:26 UTC

Soubor KML

Mapa zobrazuje dráhy meteoru. Světlejší čáry ukazují směry od pozorovacích stanic při objevení se meteoru a tmavší čáry, kde byl naposledy viděn. Modrá šipka značí viditelnou dráhu meteoru.

static map
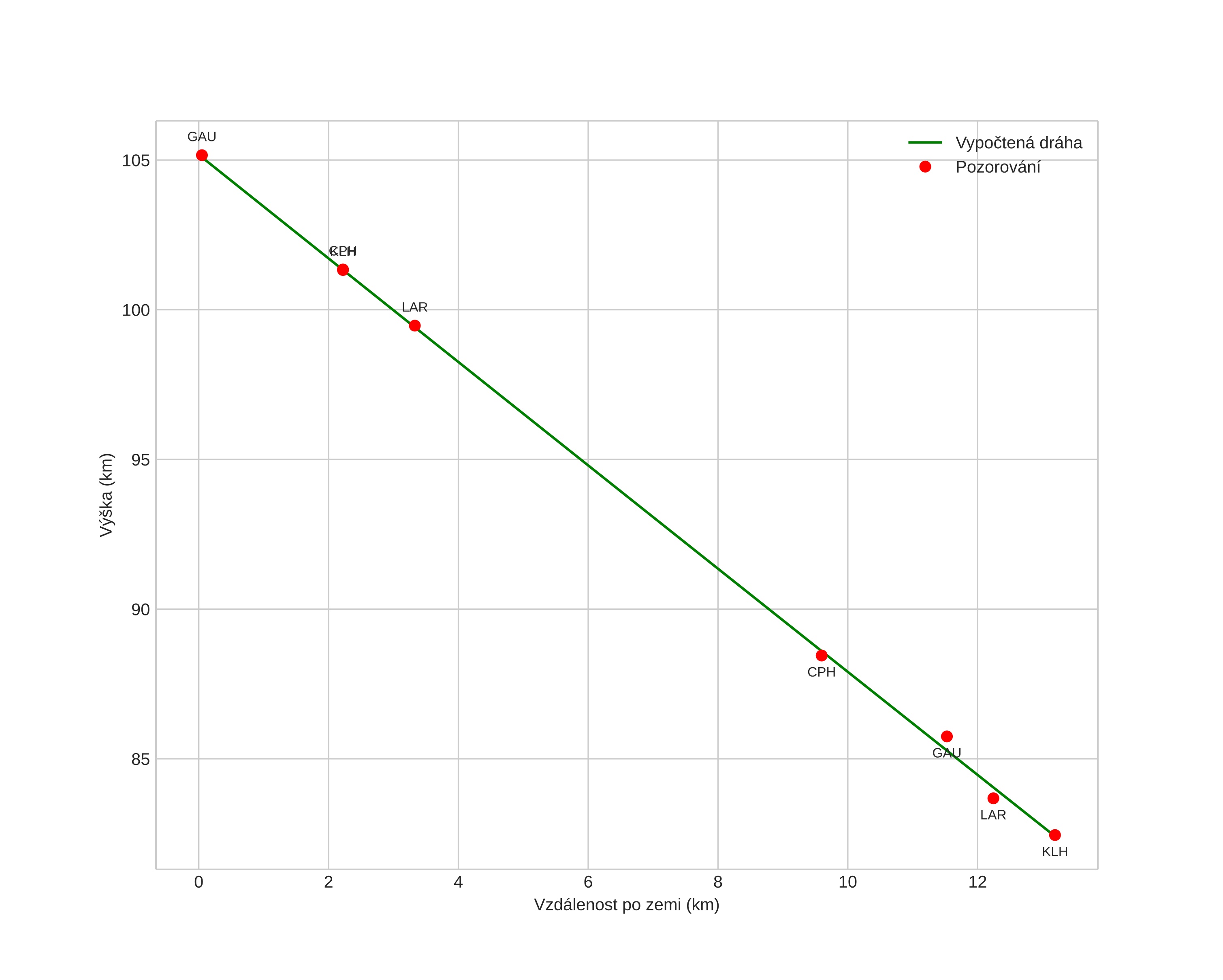
height profile
Atmosférická dráha meteoru:
Počáteční výška: 105,2 km
Konečná výška: 82,4 km
Počáteční poloha: 56,769N 12,165E
Konečná poloha: 56,839N 11,991E
Směr: 306,5°
Sklon: 60,0°
VstupnĂ­ rychlost: 51,8 km/s
Rektascenze radiantu: 18:08 (272,0°)
Deklinace radiantu: 33,8°
MeteorickĂ˝ roj: Lyridy
Elementy dráhy meteoroidu:
Vzdálenost v periheliu: 0,933 AU
Excentricita: 1,239
Sklon dráhy: 82,5°
Délka vzestupného uzlu: 31,6°
Argument perihelia: 209,5°
Střední anomálie: -2,4°
Epocha: 2022 APR 22 01:24:26
orbit plot

NeinteraktivnĂ­ graf

position vs time
speed and acceleration