🇳🇴 🇬🇧 🇩🇪 🇨🇿 🇫🇮

Meteor Träslövslägen yllä 2022-04-22 01:24:26 UTC

KML-tiedosto  |  Interaktiivinen kartta

Kartta näyttää meteorin suuntahavainnot. Vaaleammat viivat näyttävät suunnat havaintoasemilta meteorin ilmestyessä, ja tummemmat viivat näyttävät, missä se viimeksi nähtiin. Sininen nuoli näyttää meteorin näkyvän lennon.

static map
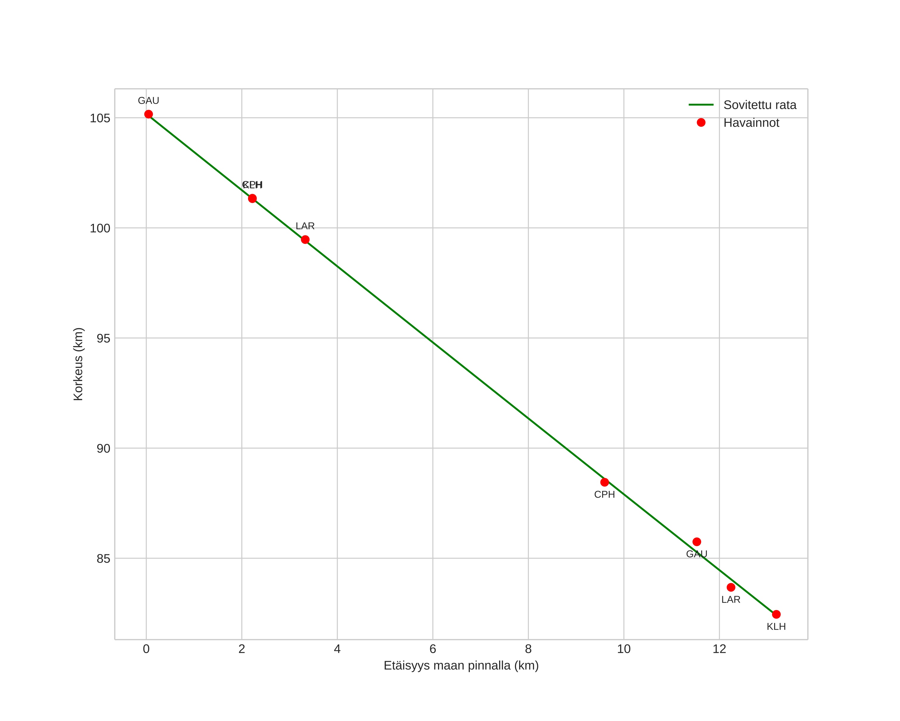
height profile
Meteorin ilmakehärata:
Alkukorkeus: 107,5 km
Loppukorkeus: 82,9 km
Alkupiste: 56,762N 12,184E
Loppupiste: 56,838N 12,001E
Suunta: 307,2°
Kallistuskulma: 60,4°
Tulonopeus: 51,7 km/s
Radiantin R,A,: 18:05 (271,4°)
Radiantin Dekl,: 33,9°
Meteoriparvi: Lyridit
Meteoroidin rataelementit:
Perihelietäisyys: 0,930 AU
Eksentrisyys: 1,246
Inklinaatio: 82,0°
Nousevan solmun pituus: 31,6°
Perihelin argumentti: 210,1°
Keskianomalia: -2,6°
Epookki: 2022 APR 22 01:24:26
orbit plot

Ei-interaktiivinen kuvaaja | Interaktiivinen kuvaaja

position vs time
speed and acceleration