🇳🇴 🇬🇧 🇩🇪 🇨🇿 🇫🇮

Meteor, poloha: Glostrup 2022-04-22 01:39:30 UTC

Soubor KML  |  InteraktivnĂ­ mapa

Mapa zobrazuje dráhy meteoru. Světlejší čáry ukazují směry od pozorovacích stanic při objevení se meteoru a tmavší čáry, kde byl naposledy viděn. Modrá šipka značí viditelnou dráhu meteoru.

static map
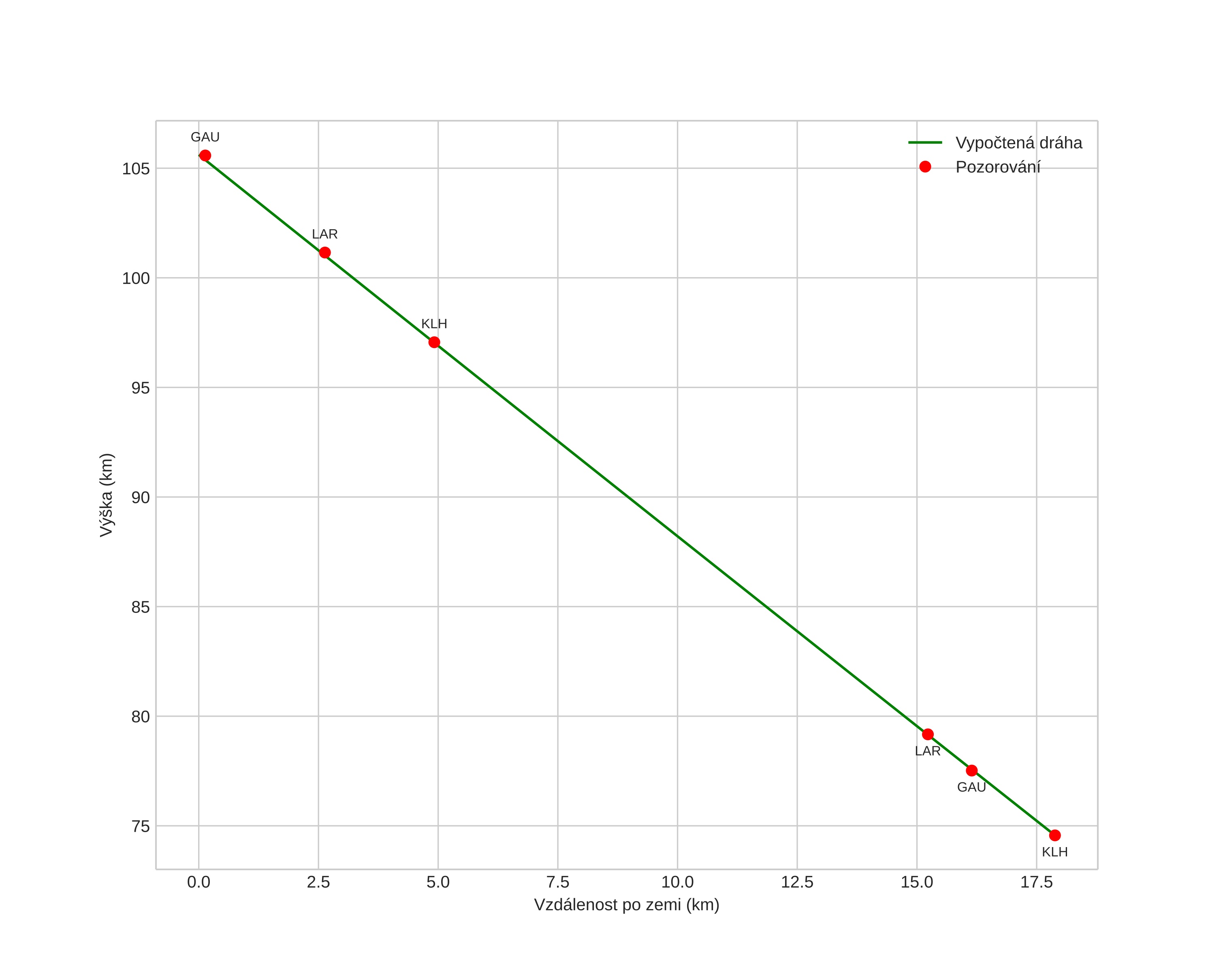
height profile
Atmosférická dráha meteoru:
Počáteční výška: 108,3 km
Konečná výška: 74,6 km
Počáteční poloha: 55,559N 12,625E
Konečná poloha: 55,681N 12,403E
Směr: 314,6°
Sklon: 60,0°
VstupnĂ­ rychlost: 51,4 km/s
Rektascenze radiantu: 18:06 (271,7°)
Deklinace radiantu: 30,6°
MeteorickĂ˝ roj: Lyridy
Elementy dráhy meteoroidu:
Vzdálenost v periheliu: 0,905 AU
Excentricita: 1,086
Sklon dráhy: 84,5°
Délka vzestupného uzlu: 31,6°
Argument perihelia: 216,0°
Střední anomálie: -0,7°
Epocha: 2022 APR 22 01:39:30
orbit plot

NeinteraktivnĂ­ graf | InteraktivnĂ­ graf

position vs time
speed and acceleration