🇳🇴 🇬🇧 🇩🇪 🇨🇿 🇫🇮

Meteor über Glostrup 2022-04-22 01:39:30 UTC

KML-Datei  |  Interaktive Karte

Die Karte zeigt die Peilungen für den Meteor. Die helleren Linien zeigen die Richtungen von den Beobachtungsorten beim Erscheinen des Meteors, und die dunkleren Linien, wo er zuletzt gesehen wurde. Der blaue Pfeil zeigt die sichtbare Bahn des Meteors.

static map
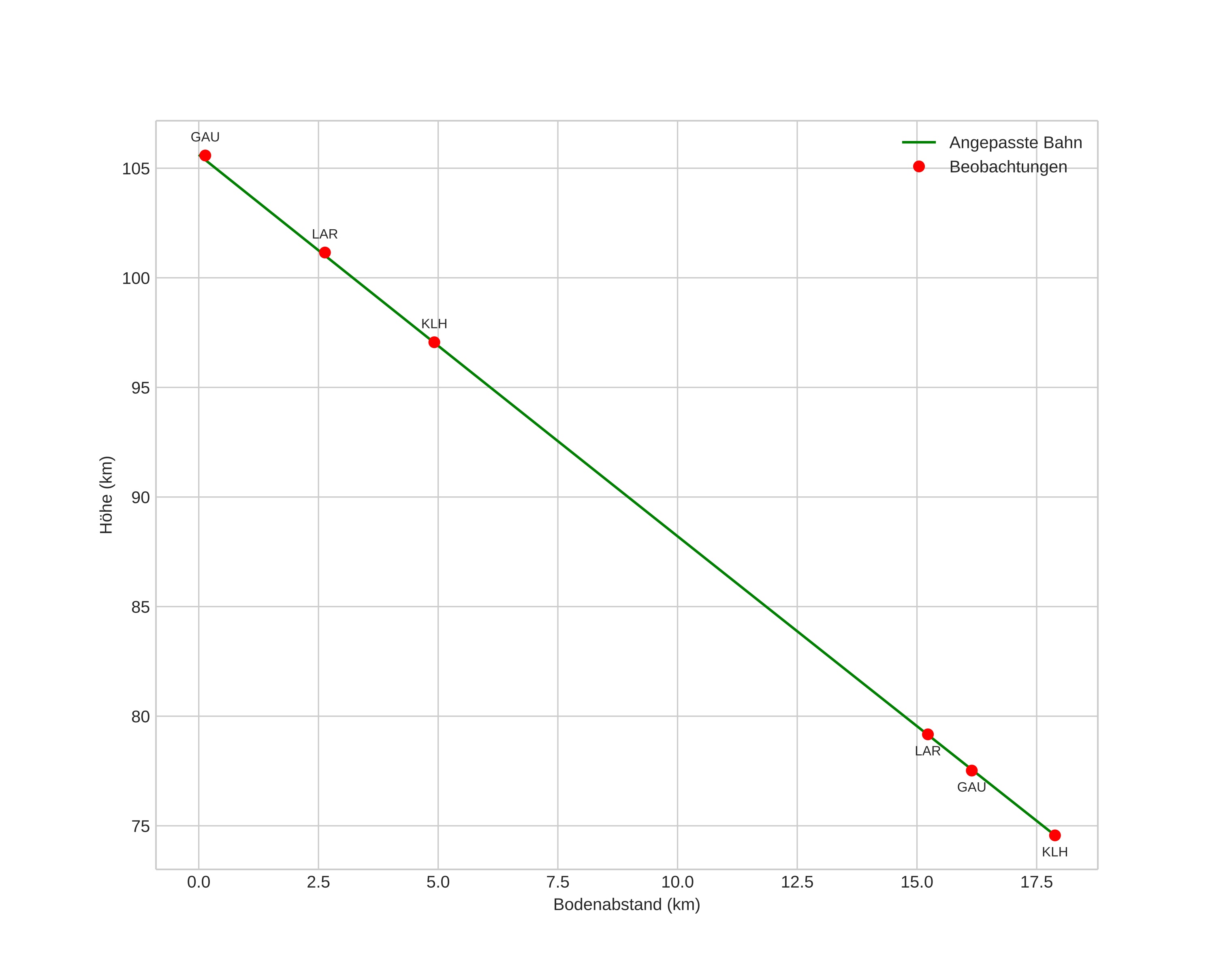
height profile
Atmosphärische Bahn des Meteors:
Anfangshöhe: 108,3 km
Endhöhe: 74,6 km
Startposition: 55,559N 12,625E
Endposition: 55,681N 12,403E
Richtung: 314,6°
Neigungswinkel: 60,0°
Eintrittsgeschwindigkeit: 51,4 km/s
Rektaszension des Radianten: 18:06 (271,7°)
Deklination des Radianten: 30,6°
Meteorstrom: Lyriden
Bahnelemente des Meteoroiden:
Periheldistanz: 0,905 AU
Exzentrizität: 1,086
Inklination: 84,5°
Länge des aufsteigenden Knotens: 31,6°
Argument des Perihels: 216,0°
Mittlere Anomalie: -0,7°
Epoche: 2022 APR 22 01:39:30
orbit plot

Nicht-interaktives Diagramm | Interaktives Diagramm

position vs time
speed and acceleration