🇳🇴 🇬🇧 🇩🇪 🇨🇿 🇫🇮

Meteor, poloha: Brøstadbotn 2022-04-22 23:06:41 UTC

Soubor KML  |  Interaktivní mapa

Mapa zobrazuje dráhy meteoru. Světlejší čáry ukazují směry od pozorovacích stanic při objevení se meteoru a tmavší čáry, kde byl naposledy viděn. Modrá šipka značí viditelnou dráhu meteoru.

static map
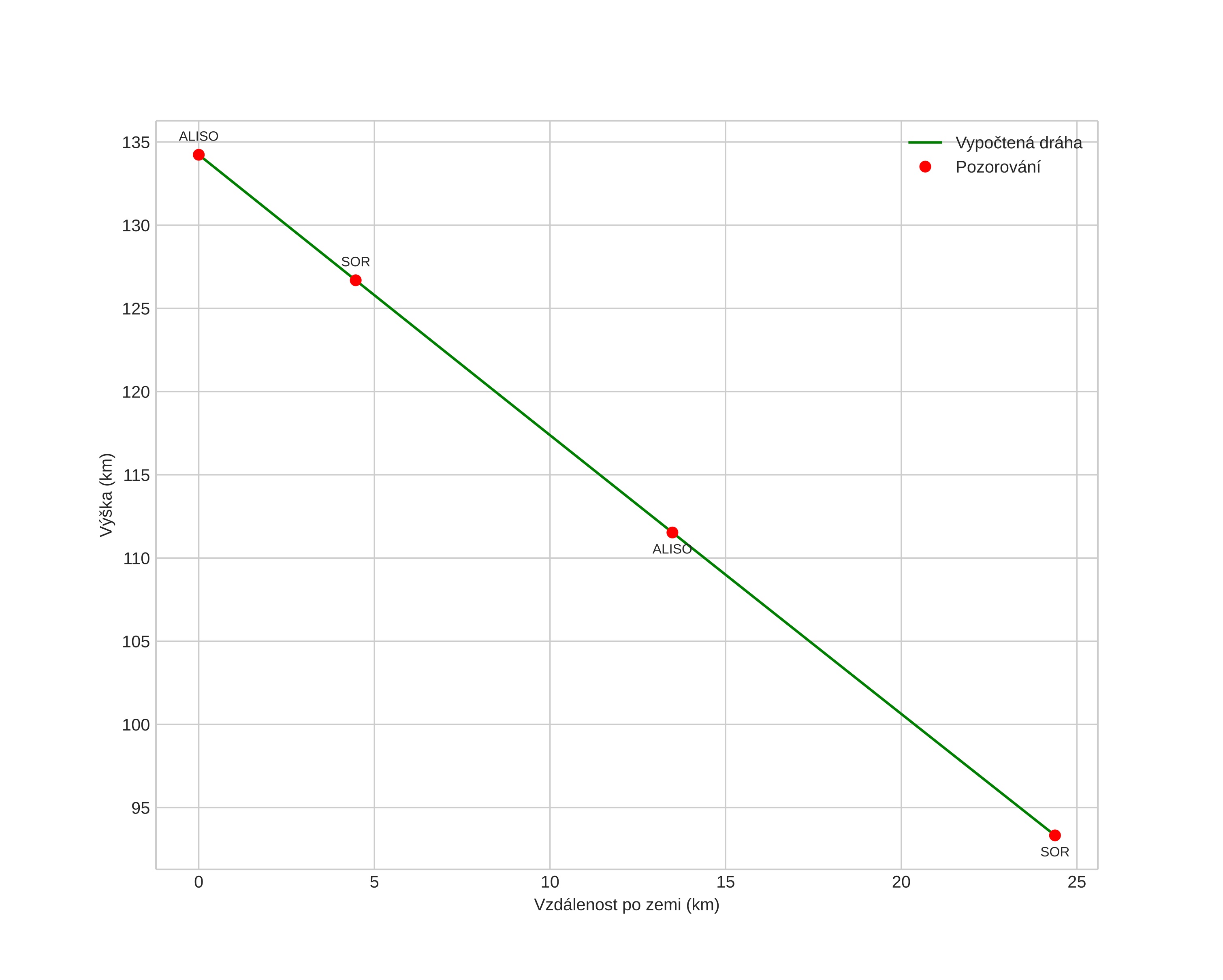
height profile
Atmosférická dráha meteoru:
Počáteční výška: 134,2 km
Konečná výška: 93,3 km
Počáteční poloha: 68,796N 18,028E
Konečná poloha: 68,907N 17,505E
Směr: 300,9°
Sklon: 59,2°
Vstupní rychlost: 73,0 km/s
Rektascenze radiantu: 16:54 (253,7°)
Deklinace radiantu: 44,7°
Meteorický roj: sporadický
Elementy dráhy meteoroidu:
Vzdálenost v periheliu: 0,931 AU
Excentricita: 4,672
Sklon dráhy: 76,1°
Délka vzestupného uzlu: 32,5°
Argument perihelia: 204,4°
Střední anomálie: -76,0°
Epocha: 2022 APR 22 23:06:41
orbit plot

Neinteraktivní graf | Interaktivní graf

position vs time
speed and acceleration