🇳🇴 🇬🇧 🇩🇪 🇨🇿 🇫🇮

Meteor Brøstadbotnin yllä 2022-04-22 23:06:41 UTC

KML-tiedosto  |  Interaktiivinen kartta

Kartta näyttää meteorin suuntahavainnot. Vaaleammat viivat näyttävät suunnat havaintoasemilta meteorin ilmestyessä, ja tummemmat viivat näyttävät, missä se viimeksi nähtiin. Sininen nuoli näyttää meteorin näkyvän lennon.

static map
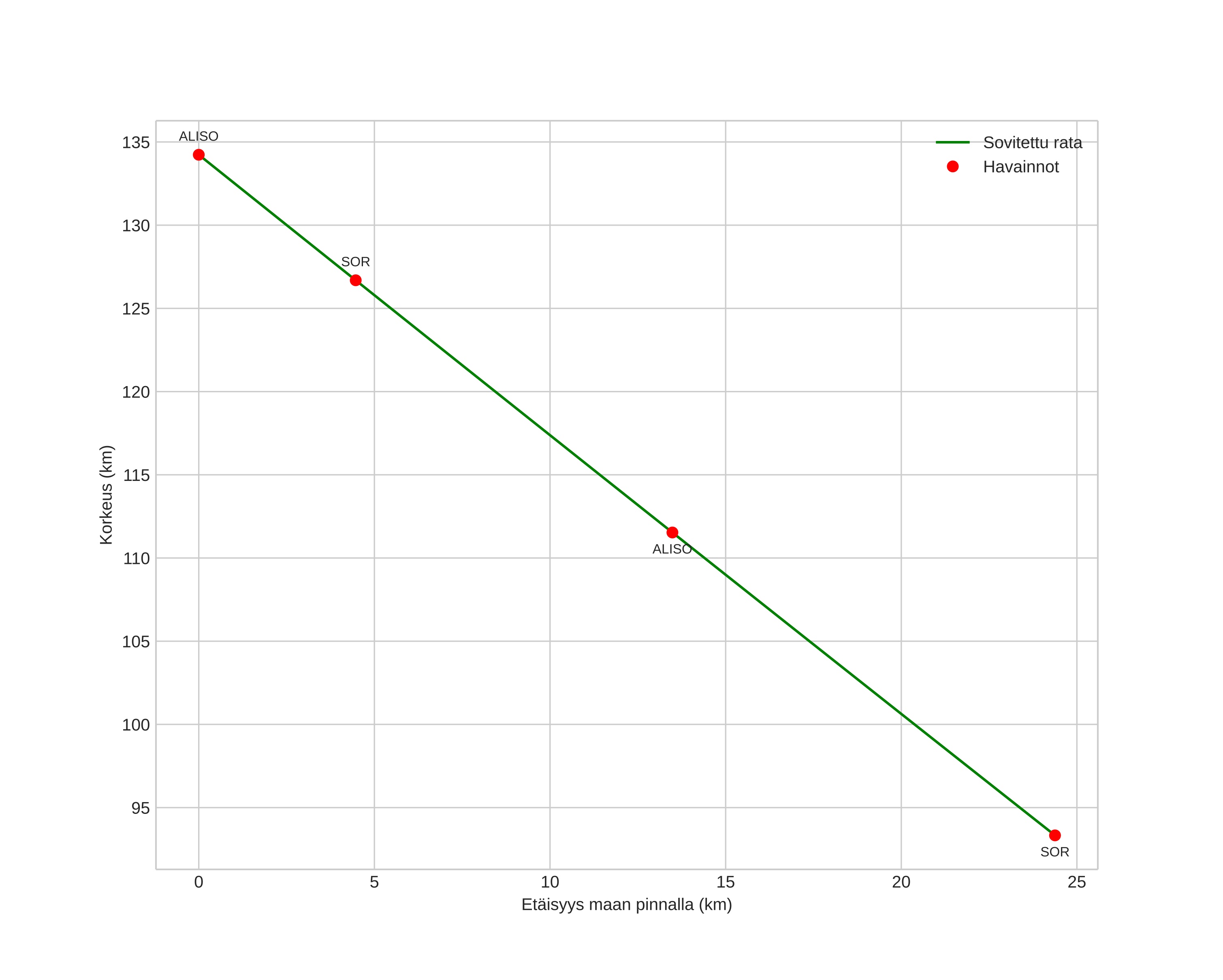
height profile
Meteorin ilmakehärata:
Alkukorkeus: 134,2 km
Loppukorkeus: 93,3 km
Alkupiste: 68,796N 18,028E
Loppupiste: 68,907N 17,505E
Suunta: 300,9°
Kallistuskulma: 59,2°
Tulonopeus: 73,0 km/s
Radiantin R,A,: 16:54 (253,7°)
Radiantin Dekl,: 44,7°
Meteoriparvi: Sporadinen
Meteoroidin rataelementit:
Perihelietäisyys: 0,931 AU
Eksentrisyys: 4,672
Inklinaatio: 76,1°
Nousevan solmun pituus: 32,5°
Perihelin argumentti: 204,4°
Keskianomalia: -76,0°
Epookki: 2022 APR 22 23:06:41
orbit plot

Ei-interaktiivinen kuvaaja | Interaktiivinen kuvaaja

position vs time
speed and acceleration

Sorreisa (SOR) cam3


gnomonic
Videot:
• Gnomoninen
• Gnomoninen koordinaateilla
• Alkuperäinen
• Alkuperäinen koordinaateilla
Kuvat:
• Gnomoninen
• Gnomoninen koordinaateilla
• Gnomoninen merkinnöillä
• Alkuperäinen
• Alkuperäinen koordinaateilla
• Alkuperäinen maskilla
Tekstitiedostot:
• Havaintoraportti
• Observaatio
• Koordinaatit
• Virheilmoitukset
• Loki
Kirkkaus