🇳🇴 🇬🇧 🇩🇪 🇨🇿 🇫🇮

Meteor, poloha: Lidköping 2022-04-24 21:02:20 UTC

Soubor KML  |  InteraktivnĂ­ mapa

Mapa zobrazuje dráhy meteoru. Světlejší čáry ukazují směry od pozorovacích stanic při objevení se meteoru a tmavší čáry, kde byl naposledy viděn. Modrá šipka značí viditelnou dráhu meteoru.

static map
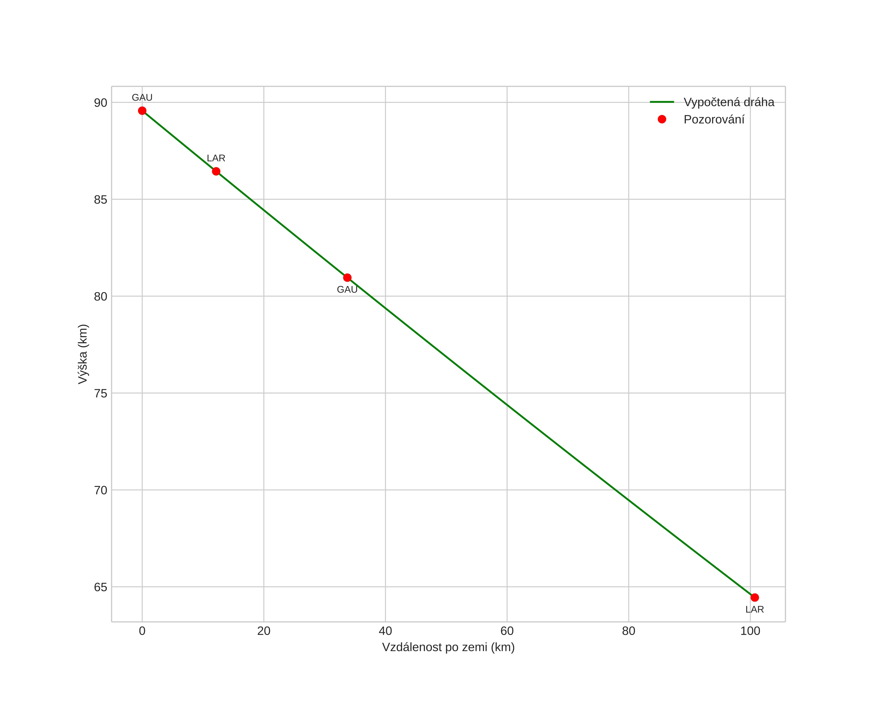
height profile
Atmosférická dráha meteoru:
Počáteční výška: 89,2 km
Konečná výška: 65,2 km
Počáteční poloha: 59,660N 12,336E
Konečná poloha: 58,820N 13,091E
Směr: 155,0°
Sklon: 13,1°
VstupnĂ­ rychlost: 21,0 km/s
Rektascenze radiantu: 02:04 (31,1°)
Deklinace radiantu: 32,6°
MeteorickĂ˝ roj: sporadickĂ˝
Elementy dráhy meteoroidu:
Vzdálenost v periheliu: 0,705 AU
Excentricita: 0,650
Sklon dráhy: 10,4°
Délka vzestupného uzlu: 34,4°
Argument perihelia: 103,9°
Střední anomálie: 15,9°
Epocha: 2022 APR 24 21:02:20
orbit plot

NeinteraktivnĂ­ graf | InteraktivnĂ­ graf

position vs time
speed and acceleration