🇳🇴 🇬🇧 🇩🇪 🇨🇿 🇫🇮

Meteor Lidköpingin yllä 2022-04-24 21:02:20 UTC

KML-tiedosto  |  Interaktiivinen kartta

Kartta näyttää meteorin suuntahavainnot. Vaaleammat viivat näyttävät suunnat havaintoasemilta meteorin ilmestyessä, ja tummemmat viivat näyttävät, missä se viimeksi nähtiin. Sininen nuoli näyttää meteorin näkyvän lennon.

static map
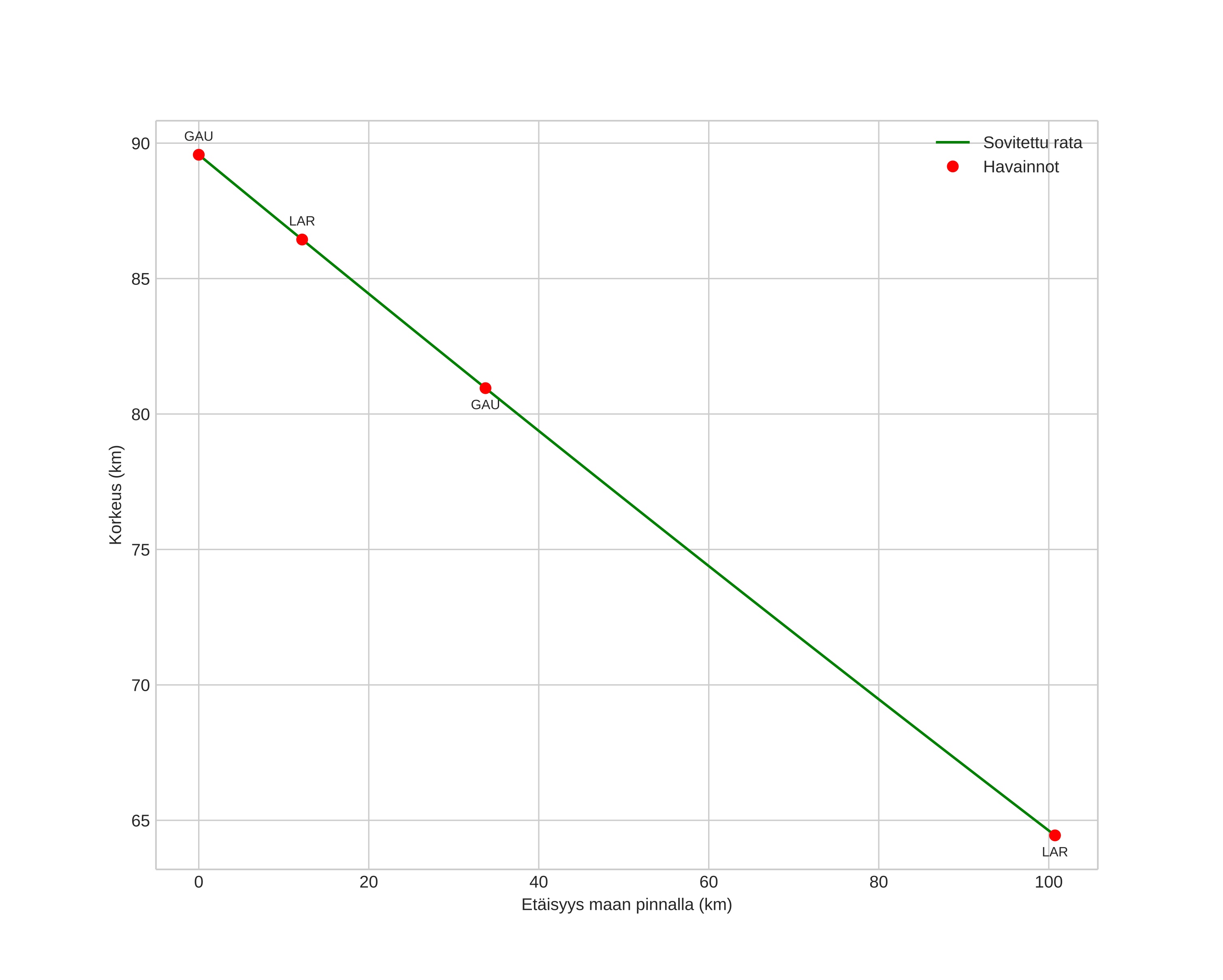
height profile
Meteorin ilmakehärata:
Alkukorkeus: 89,2 km
Loppukorkeus: 65,2 km
Alkupiste: 59,660N 12,336E
Loppupiste: 58,820N 13,091E
Suunta: 155,0°
Kallistuskulma: 13,1°
Tulonopeus: 21,0 km/s
Radiantin R,A,: 02:04 (31,1°)
Radiantin Dekl,: 32,6°
Meteoriparvi: Sporadinen
Meteoroidin rataelementit:
Perihelietäisyys: 0,705 AU
Eksentrisyys: 0,650
Inklinaatio: 10,4°
Nousevan solmun pituus: 34,4°
Perihelin argumentti: 103,9°
Keskianomalia: 15,9°
Epookki: 2022 APR 24 21:02:20
orbit plot

Ei-interaktiivinen kuvaaja | Interaktiivinen kuvaaja

position vs time
speed and acceleration