🇳🇴 🇬🇧 🇩🇪 🇨🇿 🇫🇮

Meteor, poloha: Utsira 2022-04-24 22:27:13 UTC

Soubor KML  |  InteraktivnĂ­ mapa

Mapa zobrazuje dráhy meteoru. Světlejší čáry ukazují směry od pozorovacích stanic při objevení se meteoru a tmavší čáry, kde byl naposledy viděn. Modrá šipka značí viditelnou dráhu meteoru.

static map
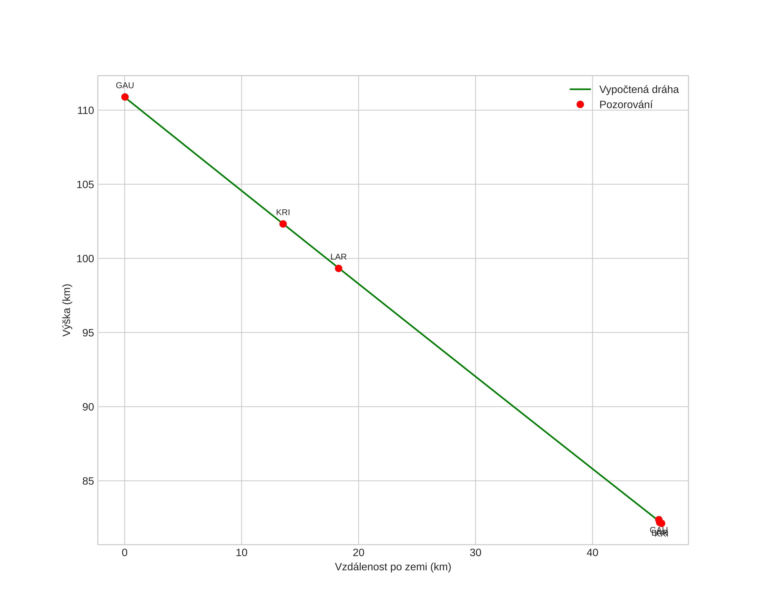
height profile
Atmosférická dráha meteoru:
Počáteční výška: 111,7 km
Konečná výška: 81,4 km
Počáteční poloha: 58,069N 4,977E
Konečná poloha: 57,982N 4,203E
Směr: 258,4°
Sklon: 33,0°
VstupnĂ­ rychlost: 49,8 km/s
Rektascenze radiantu: 18:19 (274,8°)
Deklinace radiantu: 33,0°
MeteorickĂ˝ roj: Lyridy
Elementy dráhy meteoroidu:
Vzdálenost v periheliu: 0,929 AU
Excentricita: 1,026
Sklon dráhy: 81,9°
Délka vzestupného uzlu: 34,4°
Argument perihelia: 211,8°
Střední anomálie: -0,1°
Epocha: 2022 APR 24 22:27:13
orbit plot

NeinteraktivnĂ­ graf | InteraktivnĂ­ graf

position vs time
speed and acceleration