🇳🇴 🇬🇧 🇩🇪 🇨🇿 🇫🇮

Meteor Utsiran yllä 2022-04-24 22:27:13 UTC

KML-tiedosto  |  Interaktiivinen kartta

Kartta näyttää meteorin suuntahavainnot. Vaaleammat viivat näyttävät suunnat havaintoasemilta meteorin ilmestyessä, ja tummemmat viivat näyttävät, missä se viimeksi nähtiin. Sininen nuoli näyttää meteorin näkyvän lennon.

static map
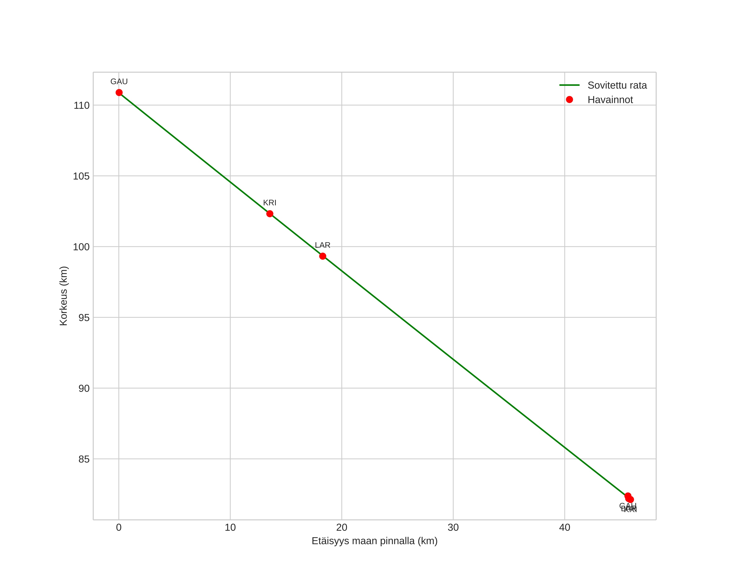
height profile
Meteorin ilmakehärata:
Alkukorkeus: 111,7 km
Loppukorkeus: 81,4 km
Alkupiste: 58,069N 4,977E
Loppupiste: 57,982N 4,203E
Suunta: 258,4°
Kallistuskulma: 33,0°
Tulonopeus: 49,8 km/s
Radiantin R,A,: 18:19 (274,8°)
Radiantin Dekl,: 33,0°
Meteoriparvi: Lyridit
Meteoroidin rataelementit:
Perihelietäisyys: 0,929 AU
Eksentrisyys: 1,026
Inklinaatio: 81,9°
Nousevan solmun pituus: 34,4°
Perihelin argumentti: 211,8°
Keskianomalia: -0,1°
Epookki: 2022 APR 24 22:27:13
orbit plot

Ei-interaktiivinen kuvaaja | Interaktiivinen kuvaaja

position vs time
speed and acceleration