🇳🇴 🇬🇧 🇩🇪 🇨🇿 🇫🇮

Meteor, poloha: Hanstholm 2022-04-24 22:36:33 UTC

Soubor KML  |  InteraktivnĂ­ mapa

Mapa zobrazuje dráhy meteoru. Světlejší čáry ukazují směry od pozorovacích stanic při objevení se meteoru a tmavší čáry, kde byl naposledy viděn. Modrá šipka značí viditelnou dráhu meteoru.

static map
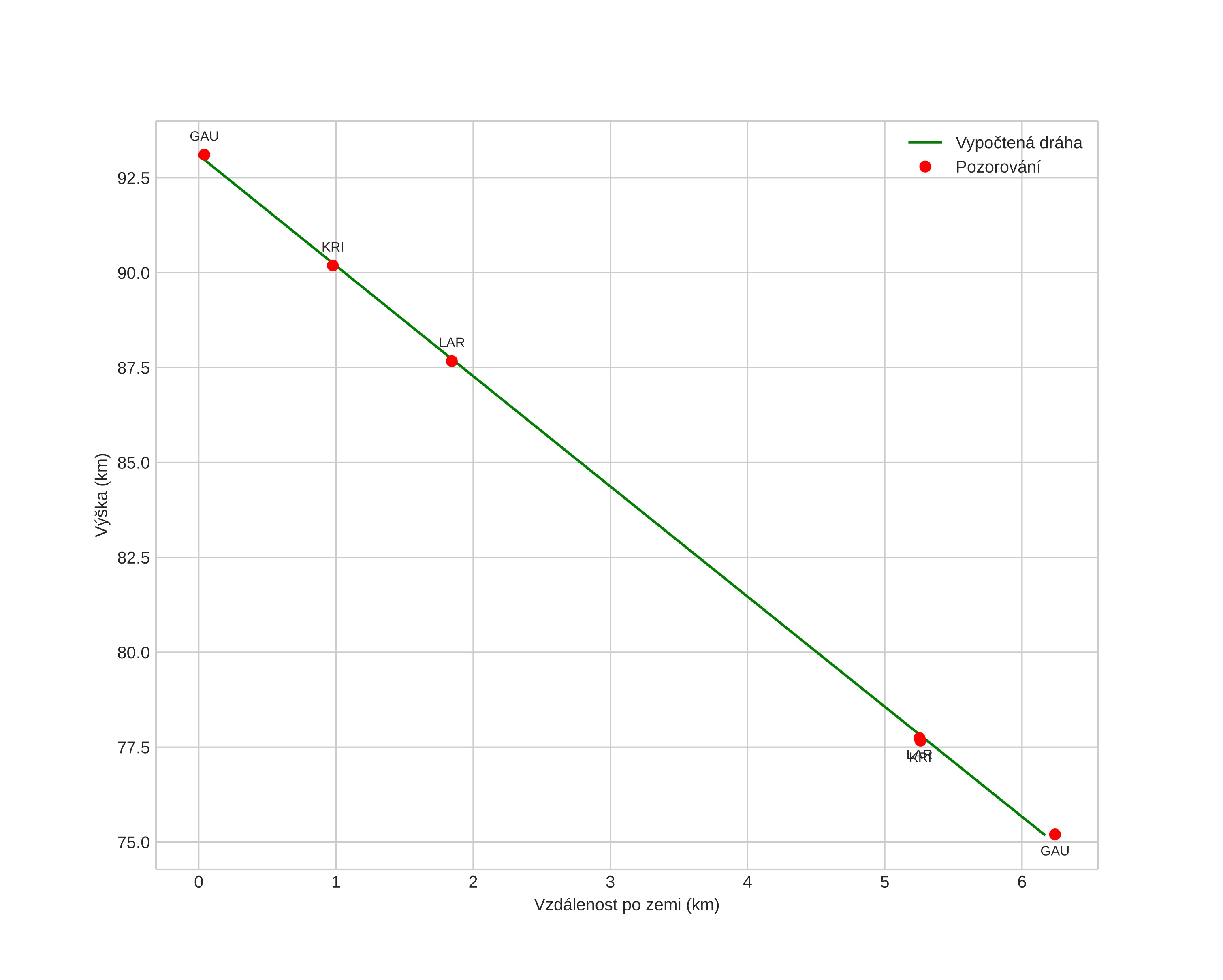
height profile
Atmosférická dráha meteoru:
Počáteční výška: 93,6 km
Konečná výška: 75,2 km
Počáteční poloha: 57,483N 9,047E
Konečná poloha: 57,467N 8,945E
Směr: 253,2°
Sklon: 71,0°
VstupnĂ­ rychlost: 26,3 km/s
Rektascenze radiantu: 15:50 (237,6°)
Deklinace radiantu: 58,0°
MeteorickĂ˝ roj: sporadickĂ˝
Elementy dráhy meteoroidu:
Vzdálenost v periheliu: 0,979 AU
Excentricita: 0,795
Sklon dráhy: 35,4°
Délka vzestupného uzlu: 34,4°
Argument perihelia: 199,9°
Střední anomálie: 358,6°
Epocha: 2022 APR 24 22:36:33
orbit plot

NeinteraktivnĂ­ graf | InteraktivnĂ­ graf

position vs time
speed and acceleration