🇳🇴 🇬🇧 🇩🇪 🇨🇿 🇫🇮

Meteor Hanstholmin yllä 2022-04-24 22:36:33 UTC

KML-tiedosto  |  Interaktiivinen kartta

Kartta näyttää meteorin suuntahavainnot. Vaaleammat viivat näyttävät suunnat havaintoasemilta meteorin ilmestyessä, ja tummemmat viivat näyttävät, missä se viimeksi nähtiin. Sininen nuoli näyttää meteorin näkyvän lennon.

static map
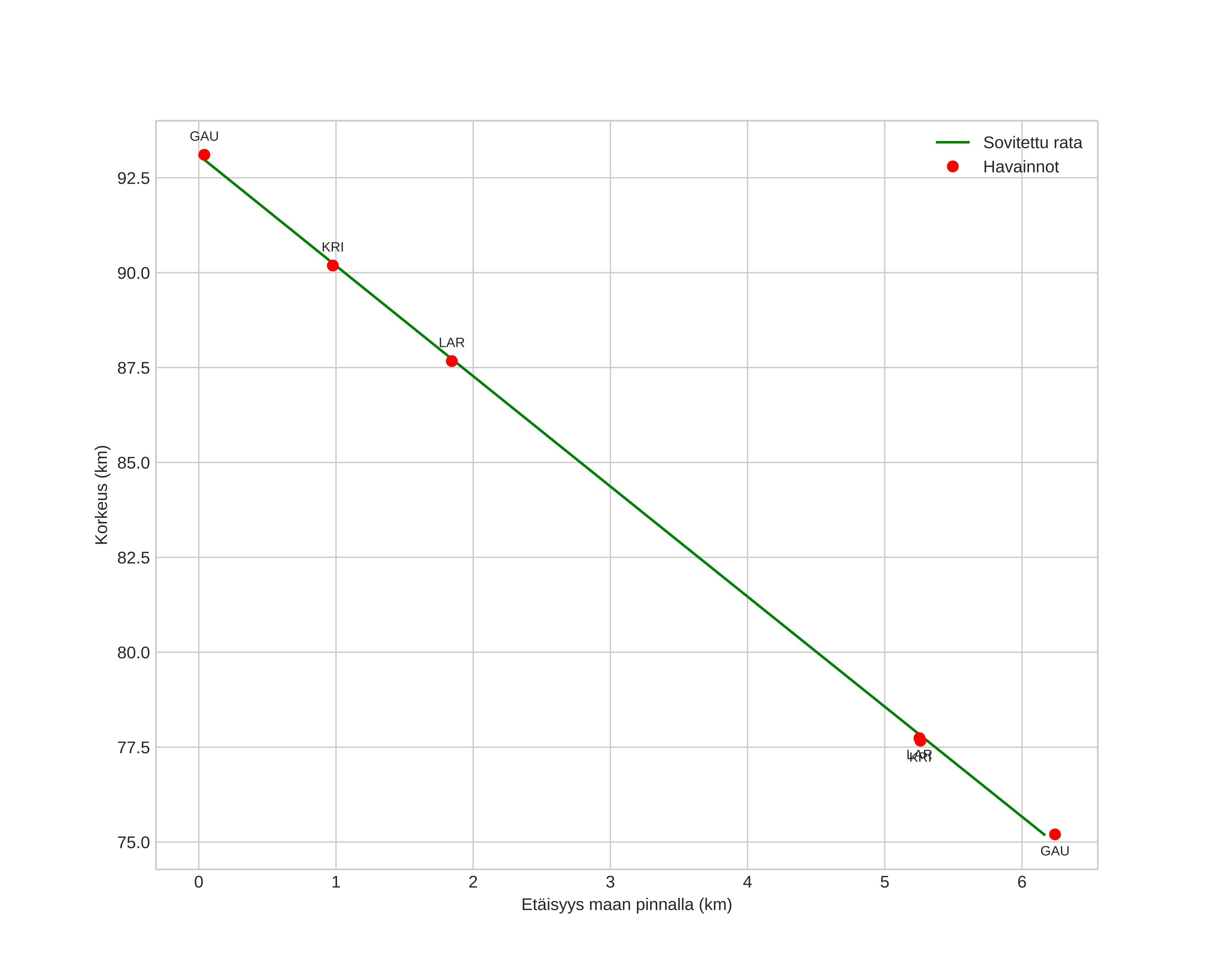
height profile
Meteorin ilmakehärata:
Alkukorkeus: 93,6 km
Loppukorkeus: 75,2 km
Alkupiste: 57,483N 9,047E
Loppupiste: 57,467N 8,945E
Suunta: 253,2°
Kallistuskulma: 71,0°
Tulonopeus: 26,3 km/s
Radiantin R,A,: 15:50 (237,6°)
Radiantin Dekl,: 58,0°
Meteoriparvi: Sporadinen
Meteoroidin rataelementit:
Perihelietäisyys: 0,979 AU
Eksentrisyys: 0,795
Inklinaatio: 35,4°
Nousevan solmun pituus: 34,4°
Perihelin argumentti: 199,9°
Keskianomalia: 358,6°
Epookki: 2022 APR 24 22:36:33
orbit plot

Ei-interaktiivinen kuvaaja | Interaktiivinen kuvaaja

position vs time
speed and acceleration