🇳🇴 🇬🇧 🇩🇪 🇨🇿 🇫🇮

Meteor, poloha: Hvide Sande 2022-04-26 21:26:01 UTC

Soubor KML  |  InteraktivnĂ­ mapa

Mapa zobrazuje dráhy meteoru. Světlejší čáry ukazují směry od pozorovacích stanic při objevení se meteoru a tmavší čáry, kde byl naposledy viděn. Modrá šipka značí viditelnou dráhu meteoru.

static map
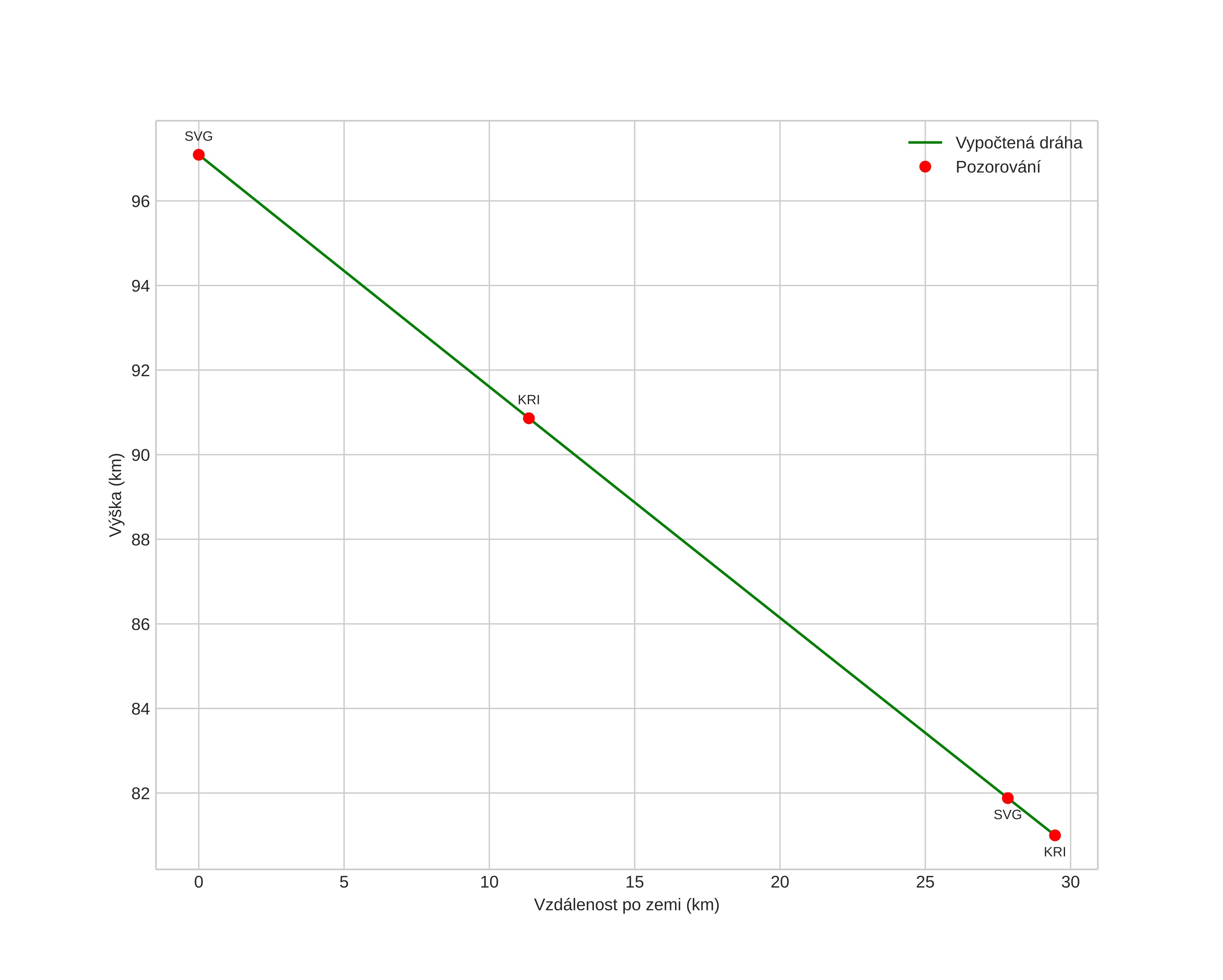
height profile
Atmosférická dráha meteoru:
Počáteční výška: 97,1 km
Konečná výška: 81,0 km
Počáteční poloha: 55,747N 6,964E
Konečná poloha: 55,507N 6,765E
Směr: 205,2°
Sklon: 28,7°
VstupnĂ­ rychlost: 48,1 km/s
Rektascenze radiantu: 21:20 (320,1°)
Deklinace radiantu: 56,7°
MeteorickĂ˝ roj: sporadickĂ˝
Elementy dráhy meteoroidu:
Vzdálenost v periheliu: 0,914 AU
Excentricita: 1,665
Sklon dráhy: 66,6°
Délka vzestupného uzlu: 36,3°
Argument perihelia: 148,5°
Střední anomálie: 11,2°
Epocha: 2022 APR 26 21:26:01
orbit plot

NeinteraktivnĂ­ graf | InteraktivnĂ­ graf

position vs time
speed and acceleration