🇳🇴 🇬🇧 🇩🇪 🇨🇿 🇫🇮

Meteor Hvide Sanden yllä 2022-04-26 21:26:01 UTC

KML-tiedosto  |  Interaktiivinen kartta

Kartta näyttää meteorin suuntahavainnot. Vaaleammat viivat näyttävät suunnat havaintoasemilta meteorin ilmestyessä, ja tummemmat viivat näyttävät, missä se viimeksi nähtiin. Sininen nuoli näyttää meteorin näkyvän lennon.

static map
height profile
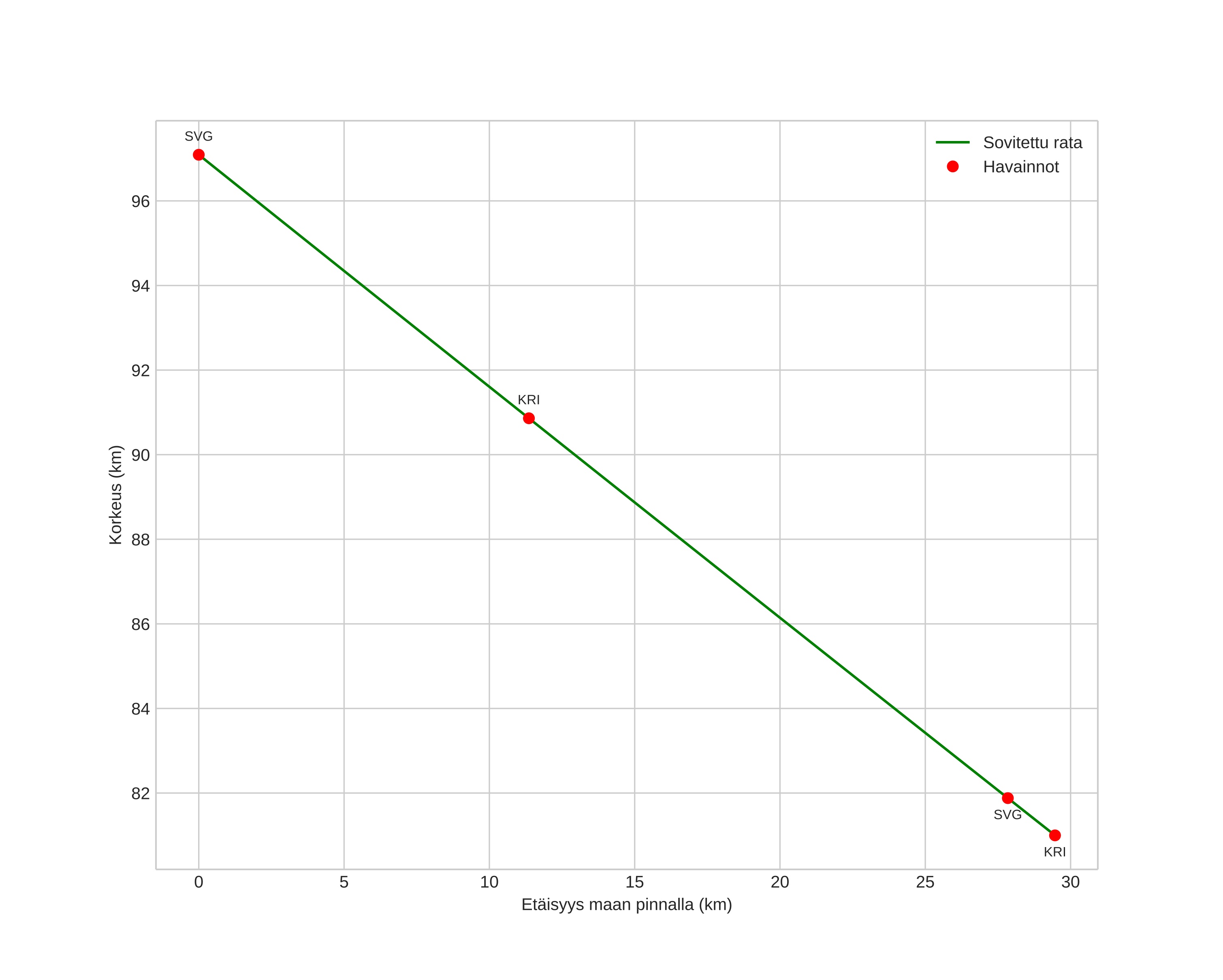
Meteorin ilmakehärata:
Alkukorkeus: 97,1 km
Loppukorkeus: 81,0 km
Alkupiste: 55,747N 6,964E
Loppupiste: 55,507N 6,765E
Suunta: 205,2°
Kallistuskulma: 28,7°
Tulonopeus: 48,1 km/s
Radiantin R,A,: 21:20 (320,1°)
Radiantin Dekl,: 56,7°
Meteoriparvi: Sporadinen
Meteoroidin rataelementit:
Perihelietäisyys: 0,914 AU
Eksentrisyys: 1,665
Inklinaatio: 66,6°
Nousevan solmun pituus: 36,3°
Perihelin argumentti: 148,5°
Keskianomalia: 11,2°
Epookki: 2022 APR 26 21:26:01
orbit plot

Ei-interaktiivinen kuvaaja | Interaktiivinen kuvaaja

position vs time
speed and acceleration