🇳🇴 🇬🇧 🇩🇪 🇨🇿 🇫🇮

Meteor, poloha: Vara 2022-05-27 00:11:54 UTC

Soubor KML  |  Interaktivní mapa

Mapa zobrazuje dráhy meteoru. Světlejší čáry ukazují směry od pozorovacích stanic při objevení se meteoru a tmavší čáry, kde byl naposledy viděn. Modrá šipka značí viditelnou dráhu meteoru.

static map
height profile
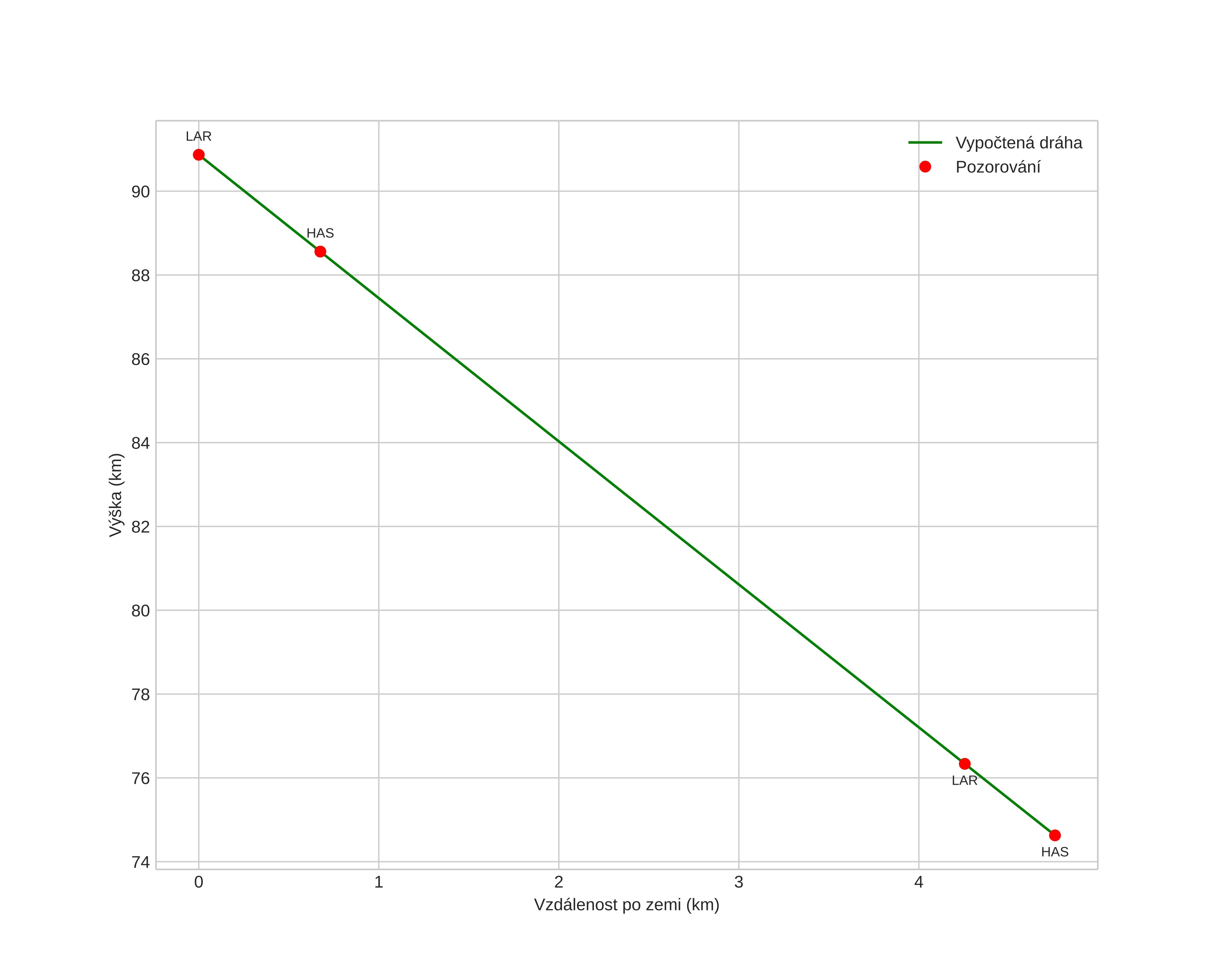
Atmosférická dráha meteoru:
Počáteční výška: 90,9 km
Konečná výška: 74,6 km
Počáteční poloha: 58,284N 12,901E
Konečná poloha: 58,246N 12,938E
Směr: 153,0°
Sklon: 73,7°
Vstupní rychlost: 25,7 km/s
Rektascenze radiantu: 15:33 (233,3°)
Deklinace radiantu: 71,6°
Meteorický roj: sporadický
Elementy dráhy meteoroidu:
Vzdálenost v periheliu: 1,012 AU
Excentricita: 0,968
Sklon dráhy: 33,0°
Délka vzestupného uzlu: 65,4°
Argument perihelia: 175,6°
Střední anomálie: 0,0°
Epocha: 2022 MAY 27 00:11:54
orbit plot

Neinteraktivní graf | Interaktivní graf

position vs time
speed and acceleration