🇳🇴 🇬🇧 🇩🇪 🇨🇿 🇫🇮

Meteor Varan yllä 2022-05-27 00:11:54 UTC

KML-tiedosto  |  Interaktiivinen kartta

Kartta näyttää meteorin suuntahavainnot. Vaaleammat viivat näyttävät suunnat havaintoasemilta meteorin ilmestyessä, ja tummemmat viivat näyttävät, missä se viimeksi nähtiin. Sininen nuoli näyttää meteorin näkyvän lennon.

static map
height profile
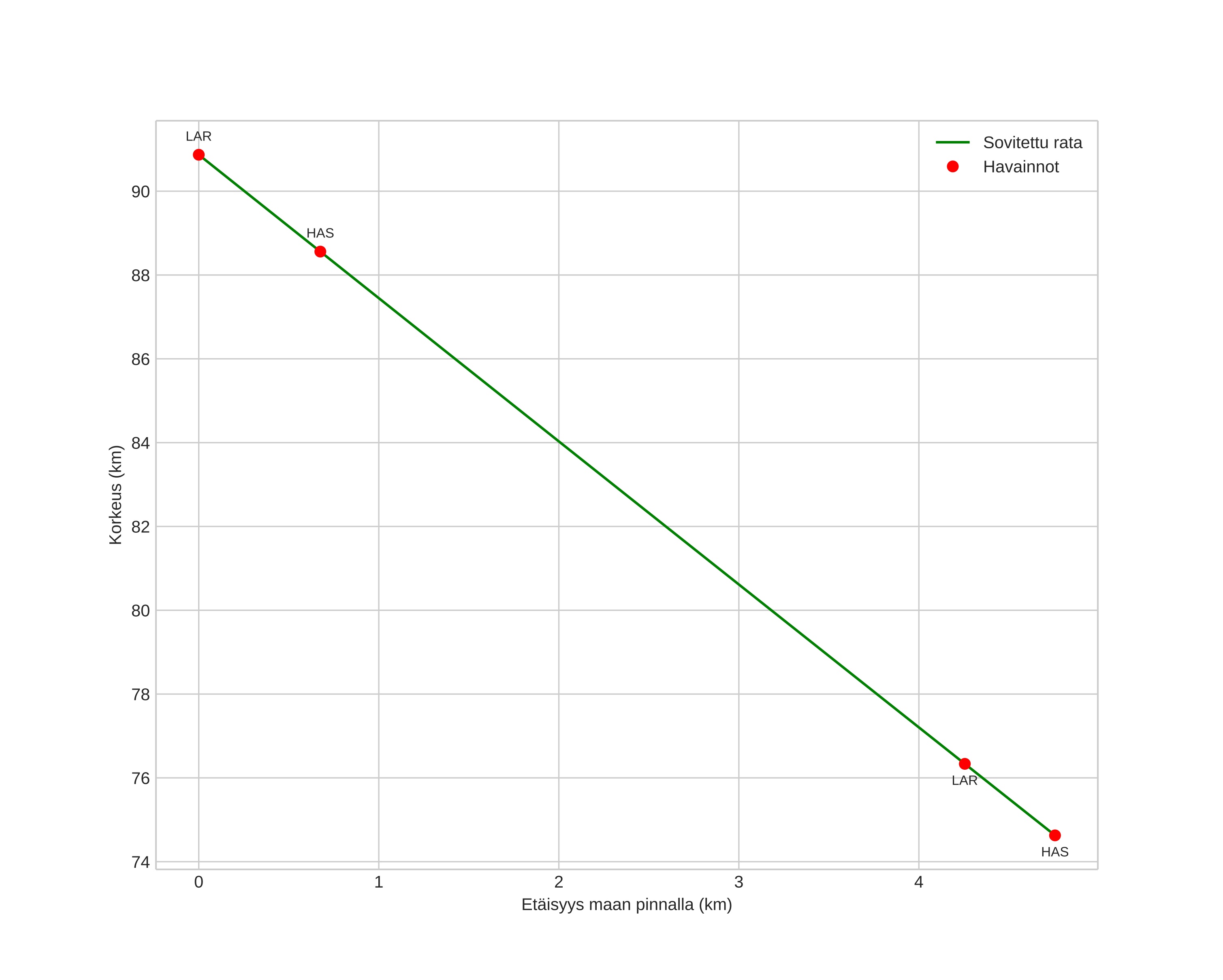
Meteorin ilmakehärata:
Alkukorkeus: 90,9 km
Loppukorkeus: 74,6 km
Alkupiste: 58,284N 12,901E
Loppupiste: 58,246N 12,938E
Suunta: 153,0°
Kallistuskulma: 73,7°
Tulonopeus: 25,7 km/s
Radiantin R,A,: 15:33 (233,3°)
Radiantin Dekl,: 71,6°
Meteoriparvi: Sporadinen
Meteoroidin rataelementit:
Perihelietäisyys: 1,012 AU
Eksentrisyys: 0,968
Inklinaatio: 33,0°
Nousevan solmun pituus: 65,4°
Perihelin argumentti: 175,6°
Keskianomalia: 0,0°
Epookki: 2022 MAY 27 00:11:54
orbit plot

Ei-interaktiivinen kuvaaja | Interaktiivinen kuvaaja

position vs time
speed and acceleration

Larvik (LAR) cam3


gnomonic
Videot:
• Gnomoninen
• Gnomoninen koordinaateilla
• Alkuperäinen
• Alkuperäinen koordinaateilla
Kuvat:
• Gnomoninen
• Gnomoninen koordinaateilla
• Gnomoninen merkinnöillä
• Alkuperäinen
• Alkuperäinen koordinaateilla
• Alkuperäinen maskilla
Tekstitiedostot:
• Havaintoraportti
• Observaatio
• Koordinaatit
• Virheilmoitukset
• Loki
Kirkkaus