🇳🇴 🇬🇧 🇩🇪 🇨🇿 🇫🇮

Meteor, poloha: Bua 2022-05-28 22:18:55 UTC

Soubor KML  |  Interaktivní mapa

Mapa zobrazuje dráhy meteoru. Světlejší čáry ukazují směry od pozorovacích stanic při objevení se meteoru a tmavší čáry, kde byl naposledy viděn. Modrá šipka značí viditelnou dráhu meteoru.

static map
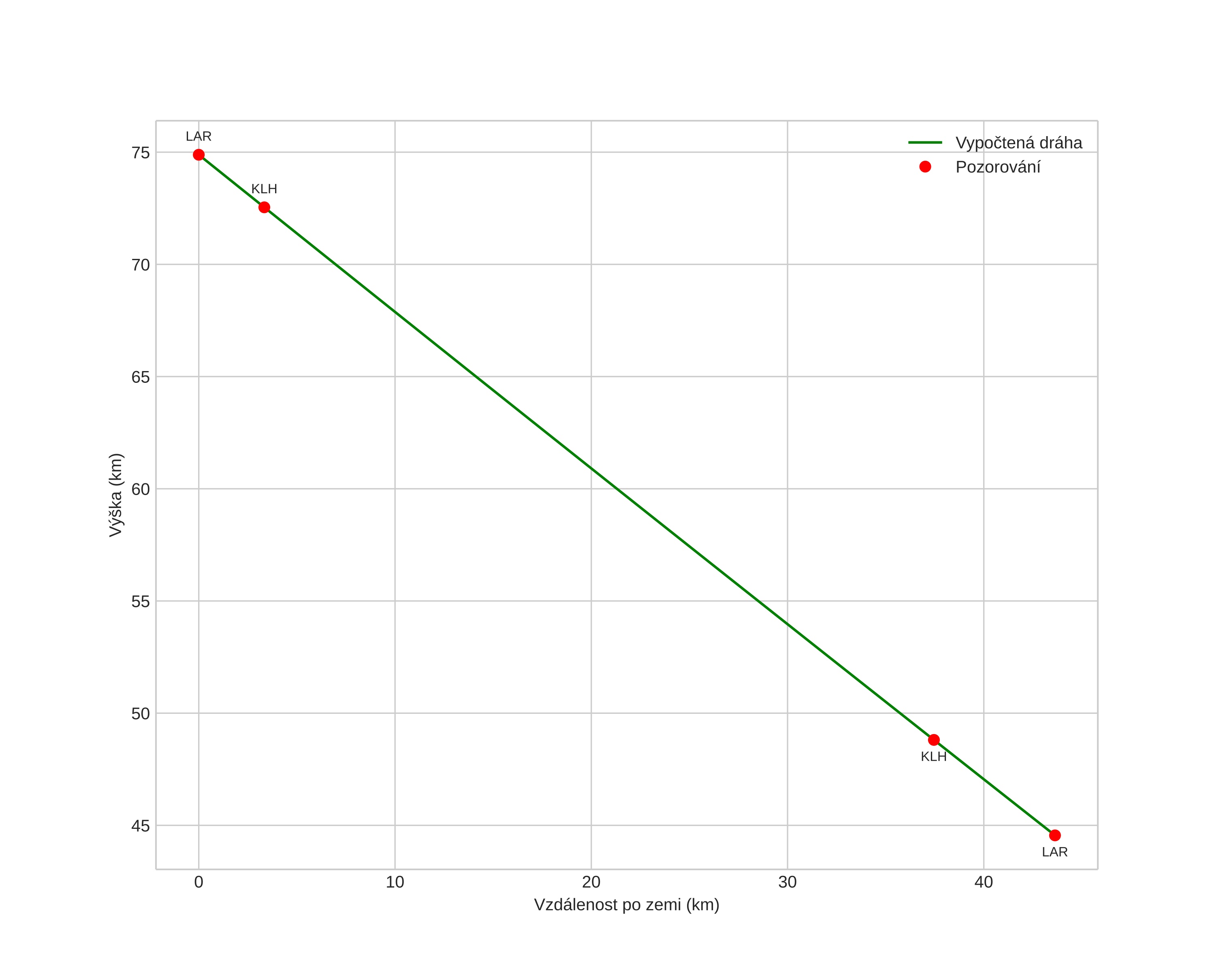
height profile
Atmosférická dráha meteoru:
Počáteční výška: 74,9 km
Konečná výška: 44,6 km
Počáteční poloha: 56,564N 11,685E
Konečná poloha: 56,944N 11,860E
Směr: 14,0°
Sklon: 34,8°
Vstupní rychlost: 18,2 km/s
Rektascenze radiantu: 14:36 (219,2°)
Deklinace radiantu: -4,7°
Meteorický roj: sporadický
Elementy dráhy meteoroidu:
Vzdálenost v periheliu: 0,891 AU
Excentricita: 0,720
Sklon dráhy: 4,0°
Délka vzestupného uzlu: 67,3°
Argument perihelia: 224,7°
Střední anomálie: 354,5°
Epocha: 2022 MAY 28 22:18:55
orbit plot

Neinteraktivní graf | Interaktivní graf

position vs time
speed and acceleration