🇳🇴 🇬🇧 🇩🇪 🇨🇿 🇫🇮

Meteor Buan yllä 2022-05-28 22:18:55 UTC

KML-tiedosto  |  Interaktiivinen kartta

Kartta näyttää meteorin suuntahavainnot. Vaaleammat viivat näyttävät suunnat havaintoasemilta meteorin ilmestyessä, ja tummemmat viivat näyttävät, missä se viimeksi nähtiin. Sininen nuoli näyttää meteorin näkyvän lennon.

static map
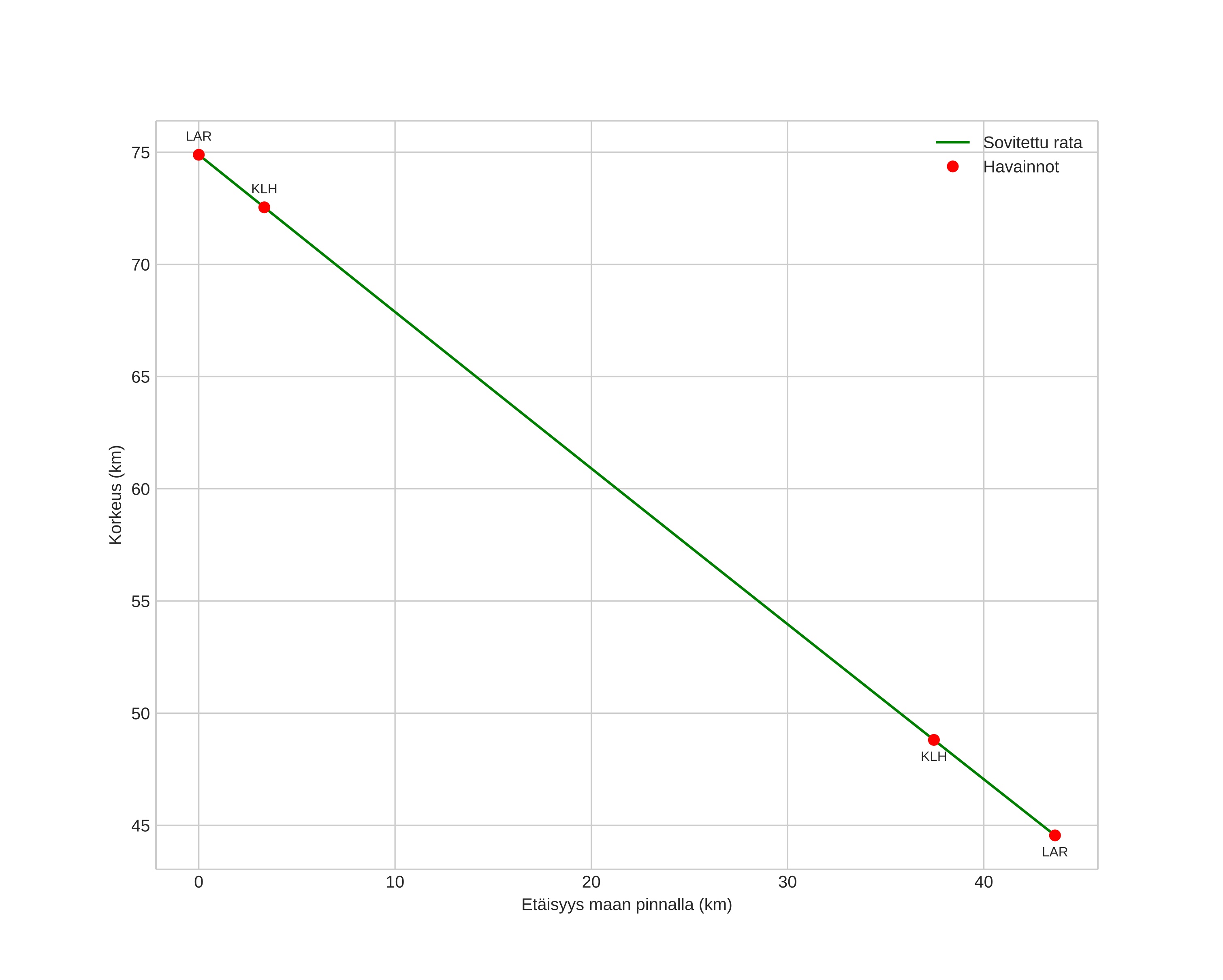
height profile
Meteorin ilmakehärata:
Alkukorkeus: 74,9 km
Loppukorkeus: 44,6 km
Alkupiste: 56,564N 11,685E
Loppupiste: 56,944N 11,860E
Suunta: 14,0°
Kallistuskulma: 34,8°
Tulonopeus: 18,2 km/s
Radiantin R,A,: 14:36 (219,2°)
Radiantin Dekl,: -4,7°
Meteoriparvi: Sporadinen
Meteoroidin rataelementit:
Perihelietäisyys: 0,891 AU
Eksentrisyys: 0,720
Inklinaatio: 4,0°
Nousevan solmun pituus: 67,3°
Perihelin argumentti: 224,7°
Keskianomalia: 354,5°
Epookki: 2022 MAY 28 22:18:55
orbit plot

Ei-interaktiivinen kuvaaja | Interaktiivinen kuvaaja

position vs time
speed and acceleration

Larvik (LAR) cam3


gnomonic
Videot:
• Gnomoninen
• Gnomoninen koordinaateilla
• Alkuperäinen
• Alkuperäinen koordinaateilla
Kuvat:
• Gnomoninen
• Gnomoninen koordinaateilla
• Gnomoninen merkinnöillä
• Alkuperäinen
• Alkuperäinen koordinaateilla
• Alkuperäinen maskilla
Tekstitiedostot:
• Havaintoraportti
• Observaatio
• Koordinaatit
• Virheilmoitukset
• Loki
Kirkkaus