🇳🇴 🇬🇧 🇩🇪 🇨🇿 🇫🇮

Meteor, poloha: Hals 2022-07-29 21:20:35 UTC

Soubor KML  |  Interaktivní mapa

Mapa zobrazuje dráhy meteoru. Světlejší čáry ukazují směry od pozorovacích stanic při objevení se meteoru a tmavší čáry, kde byl naposledy viděn. Modrá šipka značí viditelnou dráhu meteoru.

static map
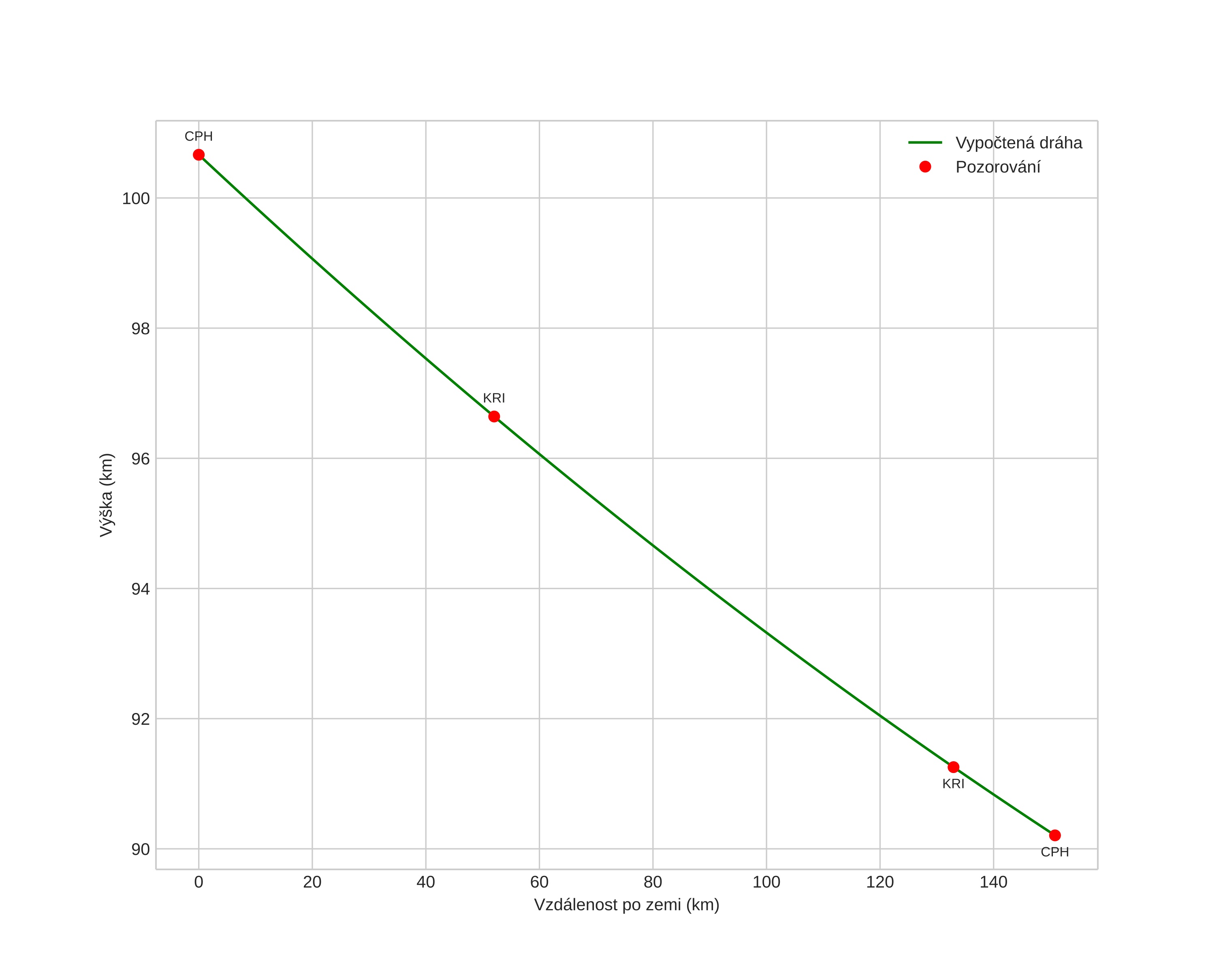
height profile
Atmosférická dráha meteoru:
Počáteční výška: 100,7 km
Konečná výška: 90,2 km
Počáteční poloha: 56,181N 12,298E
Konečná poloha: 56,936N 10,253E
Směr: 304,6°
Sklon: 4,0°
Vstupní rychlost: 42,9 km/s
Rektascenze radiantu: 22:33 (338,4°)
Deklinace radiantu: -16,8°
Meteorický roj: Jižní Delta Akvaridy
Elementy dráhy meteoroidu:
Vzdálenost v periheliu: 0,081 AU
Excentricita: 0,975
Sklon dráhy: 26,1°
Délka vzestupného uzlu: 306,4°
Argument perihelia: 149,8°
Střední anomálie: 354,3°
Epocha: 2022 JUL 29 21:20:35
orbit plot

Neinteraktivní graf | Interaktivní graf

position vs time
speed and acceleration