🇳🇴 🇬🇧 🇩🇪 🇨🇿 🇫🇮

Meteor Halsin yllä 2022-07-29 21:20:35 UTC

KML-tiedosto  |  Interaktiivinen kartta

Kartta näyttää meteorin suuntahavainnot. Vaaleammat viivat näyttävät suunnat havaintoasemilta meteorin ilmestyessä, ja tummemmat viivat näyttävät, missä se viimeksi nähtiin. Sininen nuoli näyttää meteorin näkyvän lennon.

static map
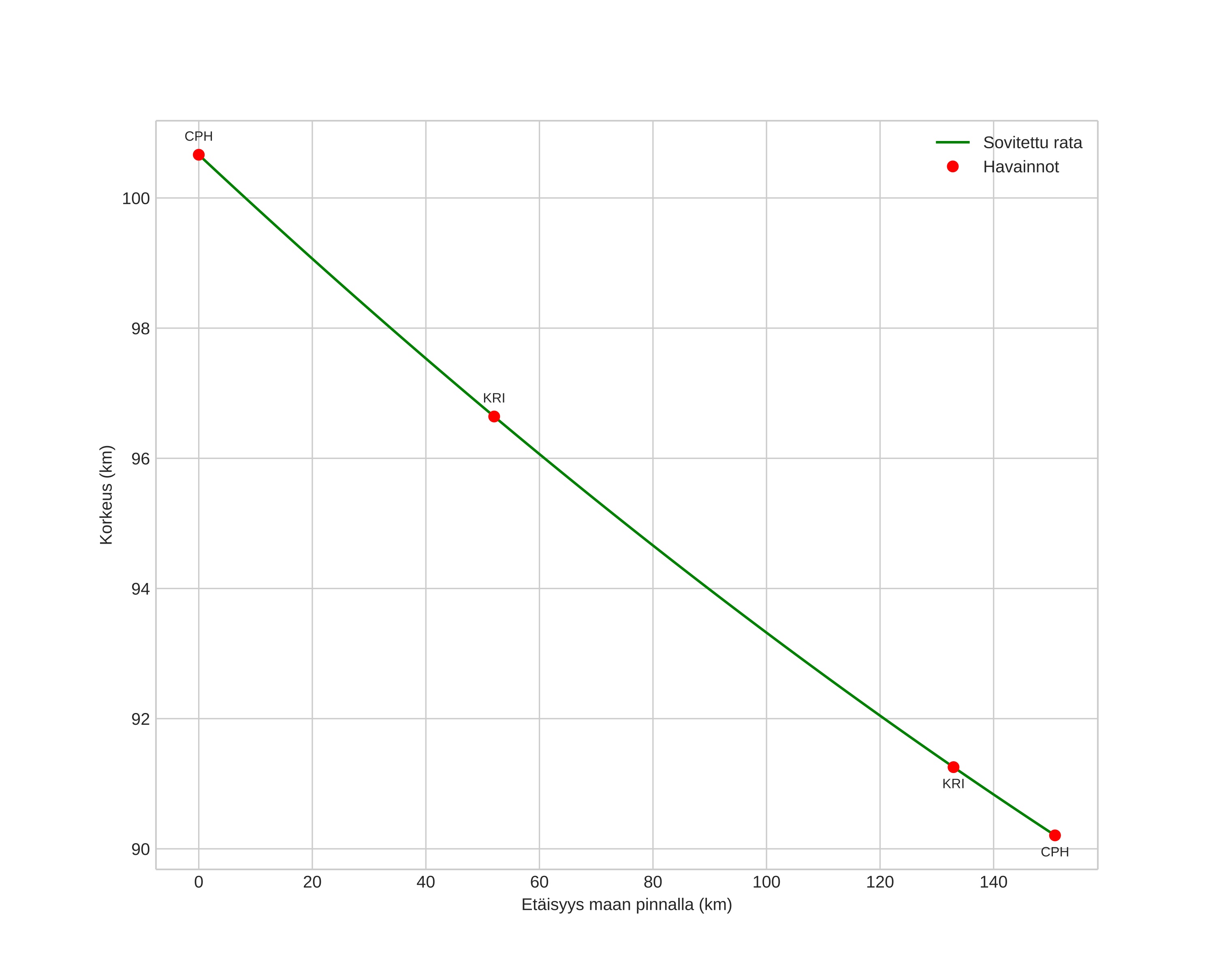
height profile
Meteorin ilmakehärata:
Alkukorkeus: 100,7 km
Loppukorkeus: 90,2 km
Alkupiste: 56,181N 12,298E
Loppupiste: 56,936N 10,253E
Suunta: 304,6°
Kallistuskulma: 4,0°
Tulonopeus: 42,9 km/s
Radiantin R,A,: 22:33 (338,4°)
Radiantin Dekl,: -16,8°
Meteoriparvi: Eteläiset delta-akvaridit
Meteoroidin rataelementit:
Perihelietäisyys: 0,081 AU
Eksentrisyys: 0,975
Inklinaatio: 26,1°
Nousevan solmun pituus: 306,4°
Perihelin argumentti: 149,8°
Keskianomalia: 354,3°
Epookki: 2022 JUL 29 21:20:35
orbit plot

Ei-interaktiivinen kuvaaja | Interaktiivinen kuvaaja

position vs time
speed and acceleration

Kristiansand (KRI) cam2


gnomonic
Videot:
• Gnomoninen
• Gnomoninen koordinaateilla
• Alkuperäinen
• Alkuperäinen koordinaateilla
Kuvat:
• Gnomoninen
• Gnomoninen koordinaateilla
• Gnomoninen merkinnöillä
• Alkuperäinen
• Alkuperäinen koordinaateilla
• Alkuperäinen maskilla
Tekstitiedostot:
• Havaintoraportti
• Observaatio
• Koordinaatit
• Virheilmoitukset
• Loki
Kirkkaus