🇳🇴 🇬🇧 🇩🇪 🇨🇿 🇫🇮

Meteor, poloha: Pandrup 2022-07-29 23:38:15 UTC

Soubor KML  |  InteraktivnĂ­ mapa

Mapa zobrazuje dráhy meteoru. Světlejší čáry ukazují směry od pozorovacích stanic při objevení se meteoru a tmavší čáry, kde byl naposledy viděn. Modrá šipka značí viditelnou dráhu meteoru.

static map
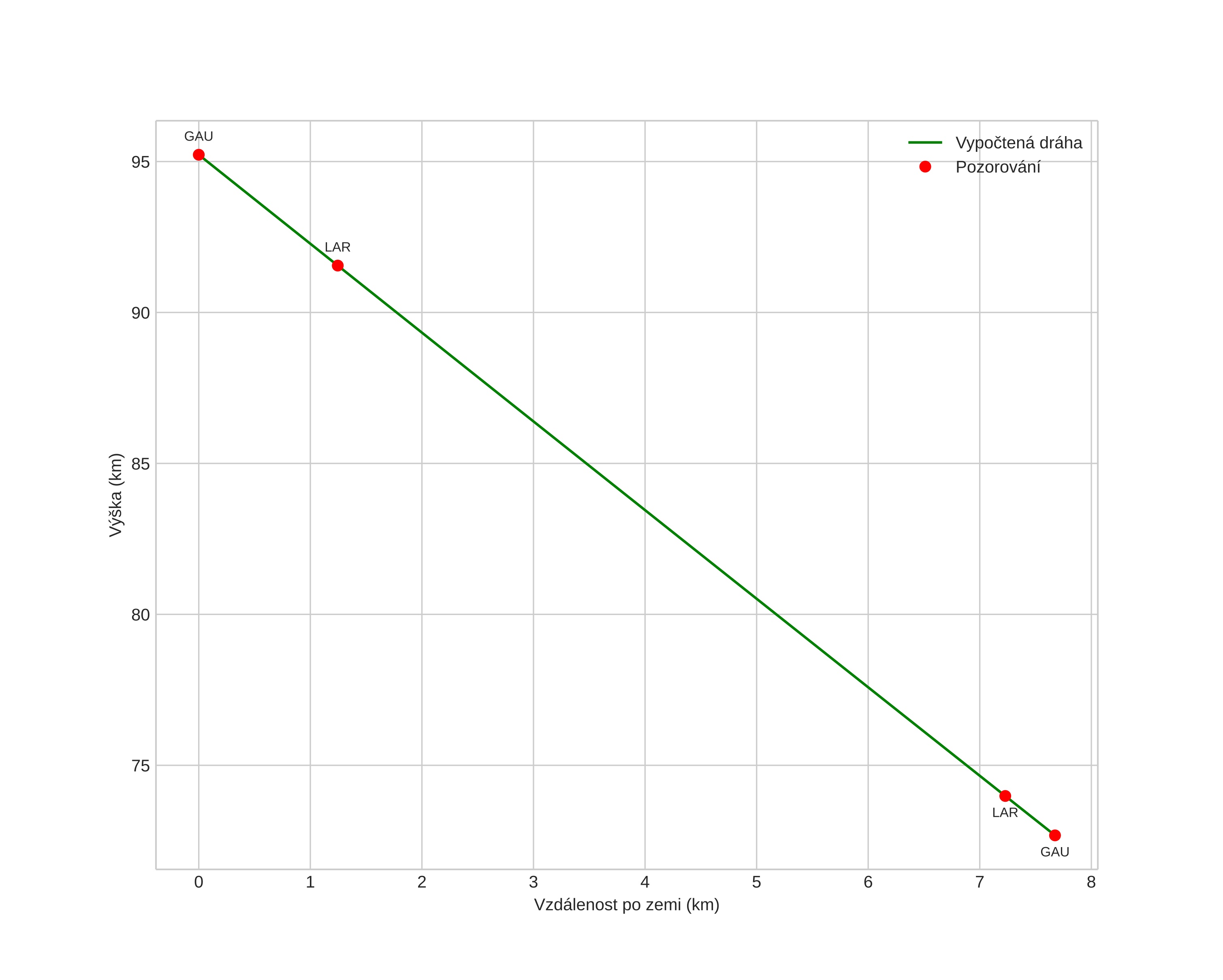
height profile
Atmosférická dráha meteoru:
Počáteční výška: 96,2 km
Konečná výška: 73,7 km
Počáteční poloha: 57,315N 9,429E
Konečná poloha: 57,322N 9,556E
Směr: 83,9°
Sklon: 71,3°
VstupnĂ­ rychlost: 28,3 km/s
Rektascenze radiantu: 18:36 (279,1°)
Deklinace radiantu: 50,4°
MeteorickĂ˝ roj: sporadickĂ˝
Elementy dráhy meteoroidu:
Vzdálenost v periheliu: 0,980 AU
Excentricita: 0,917
Sklon dráhy: 38,5°
Délka vzestupného uzlu: 126,5°
Argument perihelia: 202,1°
Střední anomálie: 359,6°
Epocha: 2022 JUL 29 23:38:15
orbit plot

NeinteraktivnĂ­ graf | InteraktivnĂ­ graf

position vs time
speed and acceleration