🇳🇴 🇬🇧 🇩🇪 🇨🇿 🇫🇮

Meteor Pandrupin yllä 2022-07-29 23:38:15 UTC

KML-tiedosto  |  Interaktiivinen kartta

Kartta näyttää meteorin suuntahavainnot. Vaaleammat viivat näyttävät suunnat havaintoasemilta meteorin ilmestyessä, ja tummemmat viivat näyttävät, missä se viimeksi nähtiin. Sininen nuoli näyttää meteorin näkyvän lennon.

static map
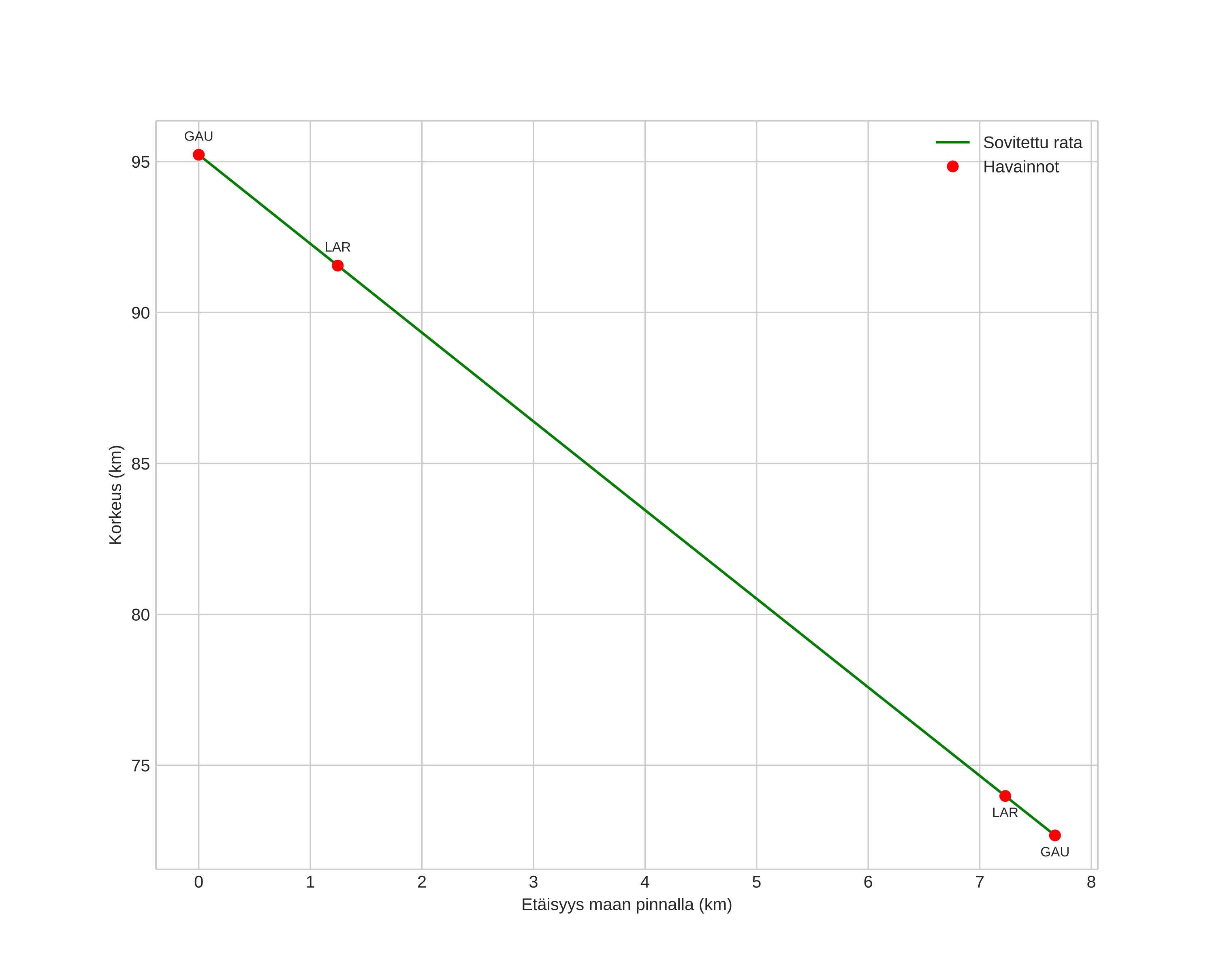
height profile
Meteorin ilmakehärata:
Alkukorkeus: 96,2 km
Loppukorkeus: 73,7 km
Alkupiste: 57,315N 9,429E
Loppupiste: 57,322N 9,556E
Suunta: 83,9°
Kallistuskulma: 71,3°
Tulonopeus: 28,3 km/s
Radiantin R,A,: 18:36 (279,1°)
Radiantin Dekl,: 50,4°
Meteoriparvi: Sporadinen
Meteoroidin rataelementit:
Perihelietäisyys: 0,980 AU
Eksentrisyys: 0,917
Inklinaatio: 38,5°
Nousevan solmun pituus: 126,5°
Perihelin argumentti: 202,1°
Keskianomalia: 359,6°
Epookki: 2022 JUL 29 23:38:15
orbit plot

Ei-interaktiivinen kuvaaja | Interaktiivinen kuvaaja

position vs time
speed and acceleration