🇳🇴 🇬🇧 🇩🇪 🇨🇿 🇫🇮

Meteor, poloha: Olstorp 2022-08-01 22:16:48 UTC

Soubor KML  |  InteraktivnĂ­ mapa

Mapa zobrazuje dráhy meteoru. Světlejší čáry ukazují směry od pozorovacích stanic při objevení se meteoru a tmavší čáry, kde byl naposledy viděn. Modrá šipka značí viditelnou dráhu meteoru.

static map
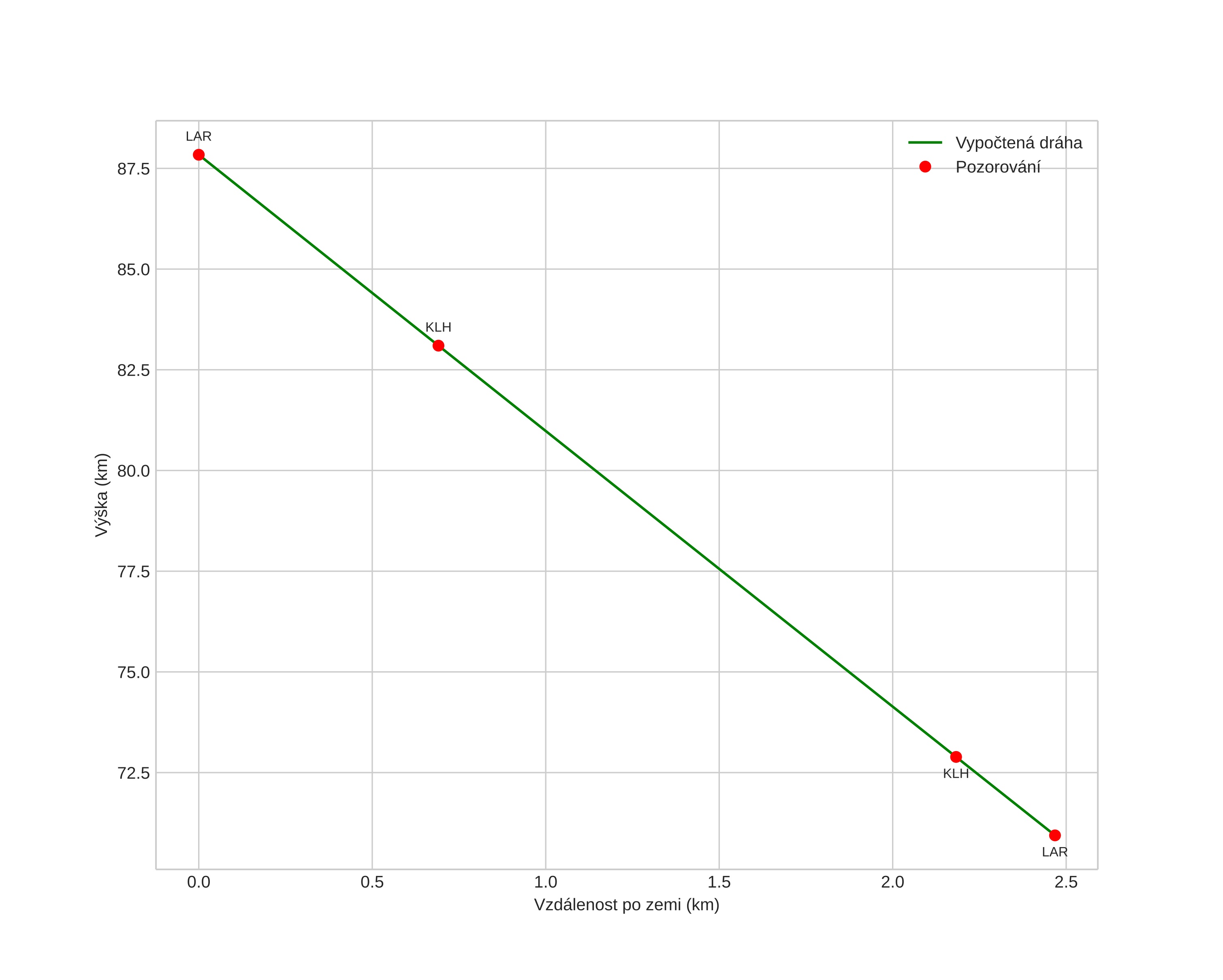
height profile
Atmosférická dráha meteoru:
Počáteční výška: 88,0 km
Konečná výška: 71,1 km
Počáteční poloha: 57,898N 12,264E
Konečná poloha: 57,877N 12,255E
Směr: 193,2°
Sklon: 82,1°
VstupnĂ­ rychlost: 31,5 km/s
Rektascenze radiantu: 20:00 (300,2°)
Deklinace radiantu: 65,6°
MeteorickĂ˝ roj: sporadickĂ˝
Elementy dráhy meteoroidu:
Vzdálenost v periheliu: 1,005 AU
Excentricita: 0,627
Sklon dráhy: 50,3°
Délka vzestupného uzlu: 129,3°
Argument perihelia: 193,3°
Střední anomálie: 357,6°
Epocha: 2022 AUG 01 22:16:48
orbit plot

NeinteraktivnĂ­ graf | InteraktivnĂ­ graf

position vs time
speed and acceleration