🇳🇴 🇬🇧 🇩🇪 🇨🇿 🇫🇮

Meteor Olstorpin yllä 2022-08-01 22:16:48 UTC

KML-tiedosto  |  Interaktiivinen kartta

Kartta näyttää meteorin suuntahavainnot. Vaaleammat viivat näyttävät suunnat havaintoasemilta meteorin ilmestyessä, ja tummemmat viivat näyttävät, missä se viimeksi nähtiin. Sininen nuoli näyttää meteorin näkyvän lennon.

static map
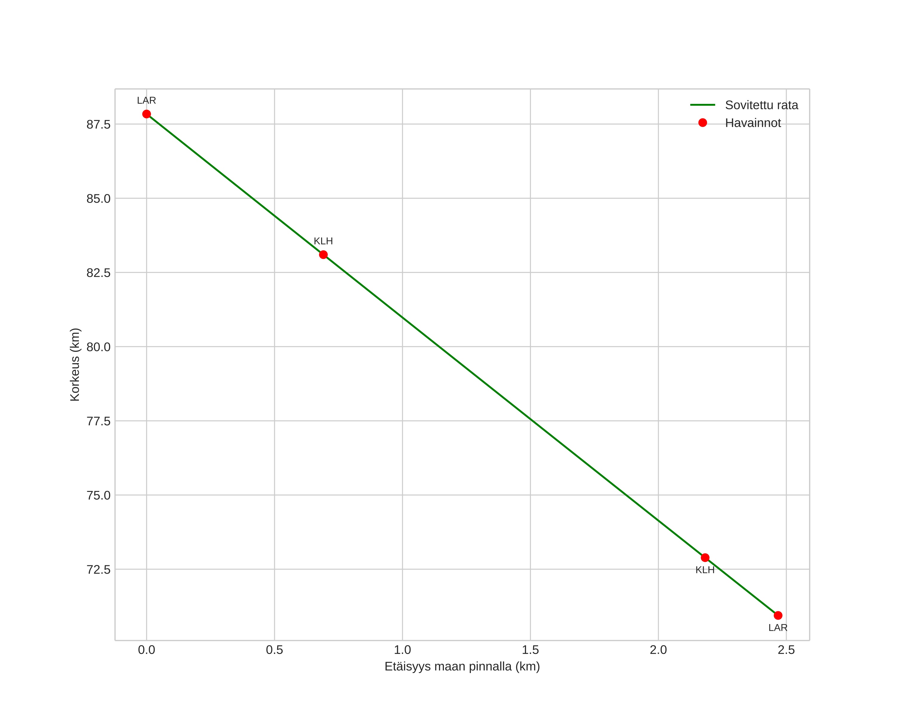
height profile
Meteorin ilmakehärata:
Alkukorkeus: 88,0 km
Loppukorkeus: 71,1 km
Alkupiste: 57,898N 12,264E
Loppupiste: 57,877N 12,255E
Suunta: 193,2°
Kallistuskulma: 82,1°
Tulonopeus: 31,5 km/s
Radiantin R,A,: 20:00 (300,2°)
Radiantin Dekl,: 65,6°
Meteoriparvi: Sporadinen
Meteoroidin rataelementit:
Perihelietäisyys: 1,005 AU
Eksentrisyys: 0,627
Inklinaatio: 50,3°
Nousevan solmun pituus: 129,3°
Perihelin argumentti: 193,3°
Keskianomalia: 357,6°
Epookki: 2022 AUG 01 22:16:48
orbit plot

Ei-interaktiivinen kuvaaja | Interaktiivinen kuvaaja

position vs time
speed and acceleration